Allen教程上关于差分放大器跨导的问题。
录入:edatop.com 阅读:
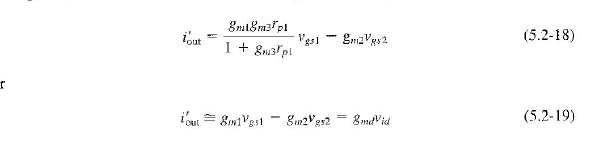
急求:艾伦第二版154页上的小信号分析部分,公式5.2-18推导到5.2-19要假设gm3rp1远大于1,但是实际计算结果貌似还没超过10。请问大侠们这样推导的合理性在哪里?
分母变化一下就是:
1+gm3*rp1
=gm3*(1/gm3+rp1);
其中rp1=rds1||rds3,是一个rds量级的阻抗,相对于1/gm级的阻抗大很多。
我是来看看的。
申明:网友回复良莠不齐,仅供参考。如需专业解答,请学习本站推出的微波射频专业培训课程。
上一篇:为什么npn bipolar在基极开路时是处于放大状态?
下一篇:请问如何从1.2V的bandgap得到不同的参考电压呢?

