求教电荷再分配SAR ADC 原理
录入:edatop.com 阅读:
各位:关于组合型电荷再分配SAR ADC的原理有点不明白
如下是一篇硕士论文中讲的原理,

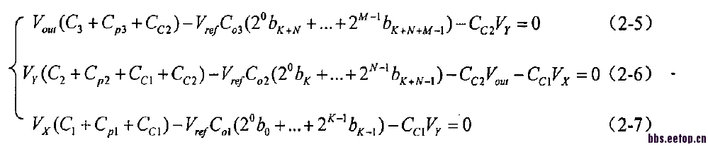
下面是他的推导公式

这是用的X,Y,Z点的电荷守恒原理吧,但是在复位阶段时,Z点接地能保证电荷为0,X和Y点的电荷为零吗?谢谢!
如下是一篇硕士论文中讲的原理,

下面是他的推导公式

这是用的X,Y,Z点的电荷守恒原理吧,但是在复位阶段时,Z点接地能保证电荷为0,X和Y点的电荷为零吗?谢谢!
charge distribultion !
申明:网友回复良莠不齐,仅供参考。如需专业解答,请学习本站推出的微波射频专业培训课程。

