这个结构的噪声式子如何推得?
录入:edatop.com 阅读:

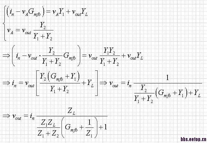
噪声公式:

我的理解是GMFB看成反馈,用反馈公式可以推出分母的式子,AV=-GMFB *RL; 那么反馈增益就是AV*(Z1/Z)。然后用反馈理论推出分母是GMFB*RL*(Z1/Z)+1。
但是我个人觉得这个反馈是局部,而这三个I相加是整体,这就让我略有疑惑。
不知论坛大神们有何高见
自顶一记,回去睡觉
只分析噪声,首先把输入接ac地。
利用 电路分析基础 中的 基尔霍夫定律 列方程求解
不涉及任何反馈定理
你的那个结果不是标准答案,因为他忽略了Z上的电流。我给出了两个结果,忽略Z上的电流是,就是你那个结果


其实你问的两个问题,是同一个问题。
感谢大神两个电路我都回去推一遍申明:网友回复良莠不齐,仅供参考。如需专业解答,请学习本站推出的微波射频专业培训课程。
上一篇:RF 模型spectre仿真:w,l is not valid parameter for an instance of nmos_rf
下一篇:信号和噪声极性问题

