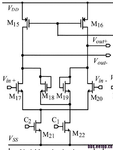
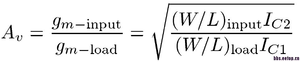
如图结构如何推得出下面的式子

差分增益

IC2是两个输入管底下偏置电流
IC1是M18 M19底下偏置电流
GMINPUT是输入管GM
GMLOAD是最上面两个电流源的GM
为何事式子上的相除,对此甚是不解
不知论坛大神有什么看法
————————————————————————————————————————————————————
自己推了一下
可以推得:AV=

对不上,其一是差一个负号,其二文中说GMLOAD是电流源的GM,而我这个式子是GM18,整个数值是对上了
自己顶一记
书上只是没有分析极性而已书上的表达是是正确的。
电路的增益是什么?如何计算
请看 razavi 中文版 56页 辅助定理
电路的Gm就是 输入的那个管子的gmin,计算方法是输入加vt,输出接地,然后看从接地那个点流出多少电流,电流记做it,用it/vt就是gmin
电路的Gout就是 输入接地时,从输出看进去的阻抗, 上面pmos 的gds和下面输入管子的gds可以忽略,于是就剩下了gmL了。计算方法是输入接地,输出加vt,看从vt流进去多少电流,电流记做it,用it/vt就是Gout。Gout就是这里的gmL.
因此就是
-gmin/gmL
注意:我提到了流出多少电流 流入多少电流,其实流出 流入 可以看做是同一个概念,只是电流方向发生了变化,更加精确地表述是小信号电流的变化量。
大部分小电路都可以这样计算
要做LNA么?这样的问题还是自己推导一下吧。如果还不明白,那只有看书了。
谢谢大神所讲~
我用你的方法去推一下试一试,并且学习一下这种方法,对比一下。
我之前用半边电路的交流模型推出来分母是M18的Gm18,但是论文上讲分母的GM是最上面两个电流源的GM,由此产生的疑惑。我推出来结果和论文后文还是相符的,所以我有点怀疑是论文作者不小心弄错了。
在看的是VGA的论文,准备做个VGA,不过具体还得和老板(老师= =)商量
-------------------------------------------------------------------------------------------------------
已推完,大致是作者写论文的时候把上面两个电流源直接当成负载GOUT(他之前计算的时候应该是对的),写论文的谬误。
学会了一种新的方法~再次感谢大神不吝赐教~
如果VC2=Vss,M22饱和,那么Av=0如果VC1=Vss,M21饱和,那么就是一个简单的全差分运放Av=-gm17*ro15
如果M21/M22都饱和,就像Razavi说的,半边电路概念是分析这种全差动输入的对称差动对的一种强有力的方法,本人也是菜鸟,下面是我画的半边电路和单边小信号模型和增益的推导:
谢谢,这个比我推得工整多了~结论相同我就安心了!
谢谢大神帮顶
申明:网友回复良莠不齐,仅供参考。如需专业解答,请学习本站推出的微波射频专业培训课程。
上一篇:smic18mmrf_1P6M 中芯国际 0.18um工艺 设计文件中电容mismatch是多少?
下一篇:关于芯片输出级PA出现欠阻尼振荡的问题

