首页 > 微波/射频 > RFIC设计学习交流 > 等效输入噪声 噪声系数 如何换算

等效输入噪声 噪声系数 如何换算

录入:edatop.com    阅读:

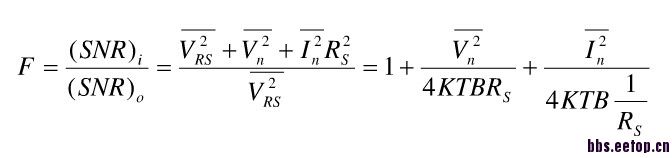
1.42nV/genHZ对应14dB的NF,用的是什么计算公式

,为什么不适用了?

申明:网友回复良莠不齐,仅供参考。如需专业解答,请学习本站推出的微波射频专业培训课程

上一篇:求HSIM 数模混合仿真教程!
下一篇:TDC里正沿触发寄存器问题

射频和天线工程师培训课程详情>>

  网站地图