1um40v工艺
录入:edatop.com 阅读:
1um40v工艺里面5v n/pmos管的vgs工作范围在0~5V,那vgs的耐压值可以达到多少?
一般看mos oxide 多厚吧. 0.5um 40v process gate oxide 一般7v 下还可以 , 但一般 < 5~5.5v , 因为会有可靠度的问题.正确的设计该避免大于 5v应用 ,
如果代工厂都只说vgs 0~5v 那表示代工厂也可能知道 > 5v 有风险. 所以才如此定
谢谢你。不过我还有个疑问,一般mos管工艺厂都会告诉一个源漏的耐压值bvds, 那为什么就没有一个栅源的耐压值呢?
5V的管子,参数就都是在Vgs=5V下测试的。
看栅氧厚度。
老工艺的5V CMOS 理论上可以到8-9V
谢谢!
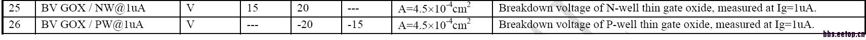
华润的工艺吧?栅源没有意义,查pcm参数bvgox,栅氧击穿电压。
恩,是csmc的,里面有面积,不知道怎么和一定尺寸的管子联系起来。
bvgox和面积没有关系。这只是告诉你测量这个参数用的是这个面积。
申明:网友回复良莠不齐,仅供参考。如需专业解答,请学习本站推出的微波射频专业培训课程。
上一篇:有谁用过csmc BCD工艺,Triming PAD上的label用哪层来标识才可以通过LVS?
下一篇:二极管版图问题

