IBM013工艺手册里FET管电流方差公式中的NF是什么?
录入:edatop.com 阅读:

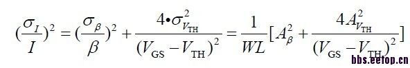
如上图,这是工艺手册里给出的求电流方差的公式,除了NF其它变量值都给出了。NF是什么啊?怎么能推导出如下图等式最右边的Aβ和Avth呢?

Number of Finger
A-beta和Avth是工艺参数,很工艺的精度有关,可以通过仿真反推或者查工艺手册得到。
申明:网友回复良莠不齐,仅供参考。如需专业解答,请学习本站推出的微波射频专业培训课程。


Number of Finger
A-beta和Avth是工艺参数,很工艺的精度有关,可以通过仿真反推或者查工艺手册得到。
申明:网友回复良莠不齐,仅供参考。如需专业解答,请学习本站推出的微波射频专业培训课程。