首页 > 微波/射频 > RFIC设计学习交流 > 威尔逊电流镜小信号推导如何切入

威尔逊电流镜小信号推导如何切入

录入:edatop.com    阅读:

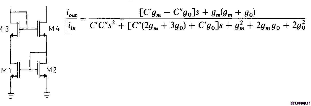
上图这个如何推出



这一个环路让我不知道从何下手

不管环路直接上基尔霍夫定律吧

申明:网友回复良莠不齐,仅供参考。如需专业解答,请学习本站推出的微波射频专业培训课程

上一篇:相位在远远大于GBW处时跳变到正相位,为什么会出现这种情况
下一篇:cadence信号源

射频和天线工程师培训课程详情>>

  网站地图