1st Order Sigma Delta 经过一filter后的quantization noise怎么算
录入:edatop.com 阅读:

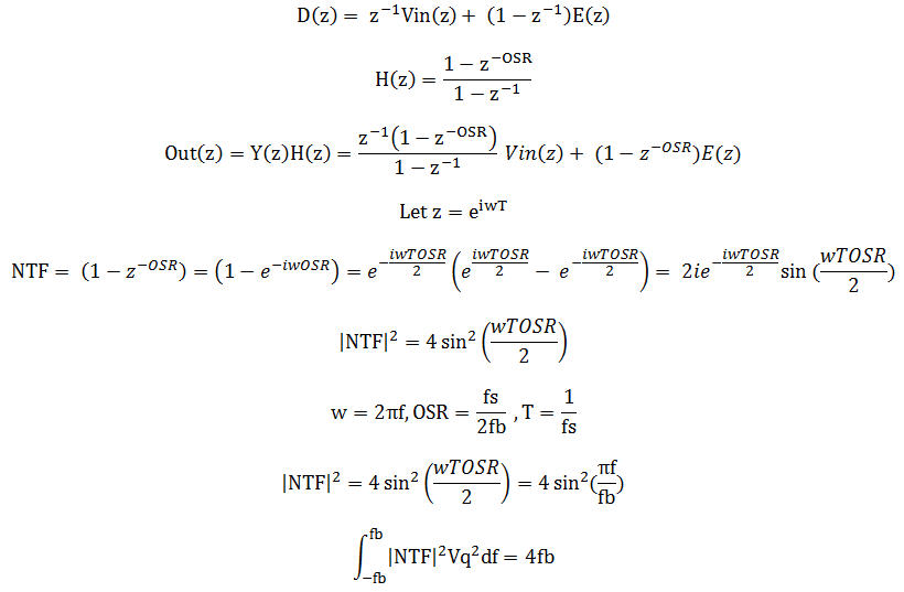
D(z)是1st order Sigma Delta的输出,然后经过一个filter H(z), 但是,最终推算的NTF却和Oversampling ratio (OSR)无关,不知道应该怎么算quantization nose. 谢谢帮助。
who can anwser ?!
申明:网友回复良莠不齐,仅供参考。如需专业解答,请学习本站推出的微波射频专业培训课程。

