Razavi Analog CMOS习题问题
录入:edatop.com 阅读:
提问
做Razavi习题,Chapter 2 第一题就给难住了
请做过的前辈们指点迷津呐!
做Razavi习题,Chapter 2 第一题就给难住了
请做过的前辈们指点迷津呐!
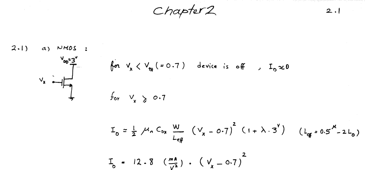
答案解答

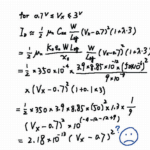
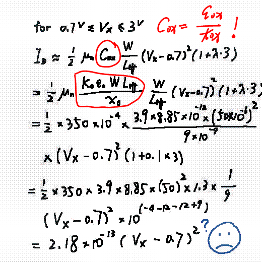
我的计算

有些 次序是不一样的 而且他有些考虑的沟道效应 有些没有
这道题我也考虑了沟长调制效应,还是不一样
另外...小生我这个数量级都没对上
问题出在哪里呢?还请大家指点迷津Cox错了!

多谢!
原来Cox是单位面积的氧化层电容啊。
对照查了公式推导,缘起公式是从栅上电荷密度与所在处氧化层电压差的关系推导得出的。赞一下,看得真仔细。
哪裡可以有解答
申明:网友回复良莠不齐,仅供参考。如需专业解答,请学习本站推出的微波射频专业培训课程。
上一篇:终于忍不住发问了:spectre有图形化的官方manual吗?
下一篇:did not evaluate to a waveform

