请教 工艺参数问题
录入:edatop.com 阅读:
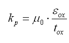
请问KP=u*Cox 怎么计算?
现在知道了 TOXN TOXP
.LIB TT
.PARAM
+TOXN = TOXP = ATP =
+LINTN = LINTP = DVT0P =
+WINTN = WINTP =
+VTH0N = VTH0P =
+NLXN = NLXP =
+VSATN = VSATP =
+RDSWN = RDSWP =
+U0N = U0P =
+CGON = CGOP =
+DLCN = DLCP =
+DWCN = DWCP =
6# 极品飞车2
对不起,上面的确是我弄错了,应该使用上面的参数,u0在工艺参数里会给出
现在知道了 TOXN TOXP
.LIB TT
.PARAM
+TOXN = TOXP = ATP =
+LINTN = LINTP = DVT0P =
+WINTN = WINTP =
+VTH0N = VTH0P =
+NLXN = NLXP =
+VSATN = VSATP =
+RDSWN = RDSWP =
+U0N = U0P =
+CGON = CGOP =
+DLCN = DLCP =
+DWCN = DWCP =
请教 关于Kn和Kp值的 计算 谢谢
大家看下 谢谢
哈哈 帮忙看下哈
写错了,见后面
谢谢 楼上
等下 请问
u0等于多少?
这个栅氧化层介电常数 公式给的 不对吧
应该是自由空间介电常数的3.9倍
自由空间介电常数是8.854×e-14
大家看下 谢谢
大家看下 谢谢

6# 极品飞车2 对不起,上面的确是我弄错了,应该使用上面的参数,u0在工艺参数里会给出
哈哈 谢谢楼上的解答
Cox=εox/tox
εox=3.97ε0
ε0=8.85aF/um
u迁移率可以查spice表得到。
+U0N = U0P =
这两个参数是迁移率吗?
Un=Uon,Cox=Kn/Tox。
其中Kn等于栅养的介电常数,一般在工艺线给的工艺文件中有介绍。没有的话就用一个MOS二极管反推一把。Id=1/2 * Kn (VGS-VTH)^2。
用8楼的参数也可以,只不过会有稍微的偏差。估算嘛,大概整一整就行了。这种参数随工艺变化很大,还是建议你不要把它当成一个确定的性能。模拟一下Corner更靠谱些。在设计时这些参数会给你一个大体的概念,如果模拟结果和你预算的差了2~5倍就说明手算得很准了,如果差了10多倍也别担心,很正常滴。
恩 谢谢哈
CSMC 0.5um工艺参数
申明:网友回复良莠不齐,仅供参考。如需专业解答,请学习本站推出的微波射频专业培训课程。

