帮忙分析下下面这个电路
录入:edatop.com 阅读:
下面这个电路用来产生一个和(1-D)相关的电流,电路中用了开关电容,小弟实在不懂,求帮忙分析下电流Icharge表达式,
最好能说细一些,3Q!
最好能说细一些,3Q!
这个可以自己分析
请到别处灌水,多谢
用VREF算出右边T3的栅压,然后算出右边的电流,再通过电流镜镜像到左边,这就是两种模式可以切换,不过这电路不实用,高增益的运放会带来很大功耗
不太明白你说的”两种模式“,可否细说。按你的理解,最终Icharge的表达式是?
线性积分电路,为什么还要别人给你计算呢!
让你自己动手是为你好!
我猜Icharge=(C1+C3)×Vref×fs/(1-D)
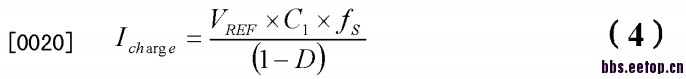
我算也是这个,但是原文说是下面这个(没有C3)
谢过!
你能上传一下这篇文章吗?
申明:网友回复良莠不齐,仅供参考。如需专业解答,请学习本站推出的微波射频专业培训课程。
上一篇:calibre 反提后 少PIN
下一篇:请问,有谁有东南大学吴金老师课上讲PLL的视频?或者是其它PLL的讲解视频也行~

