所谓的拉扎维书上的课后习题答案是不是有很多错误?
不知很多是个什么概念
可能有5%是错的?
Q:自己做了几道题,有些题怎么想都和答案不一样啊
A: 请告诉我们那几道题, 我们才能帮助你
The original solutions of Razavi's Problem 11.17 and 11.18 are wrong.
Please visit the following website
http://www.eetop.cn/bbs/thread-198482-1-1.html
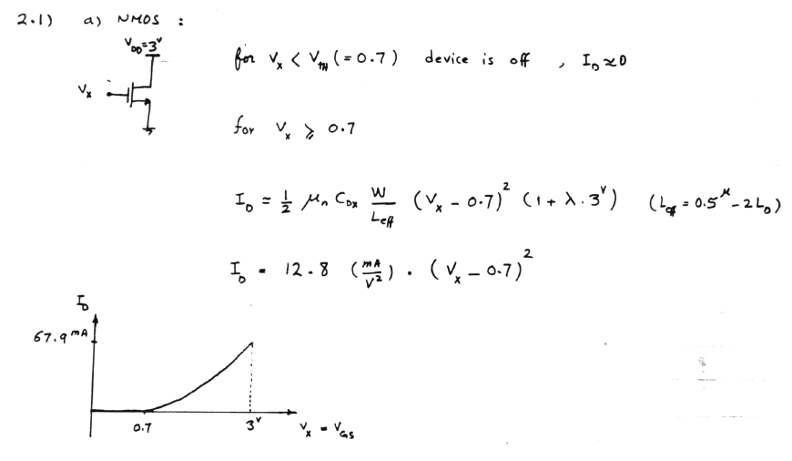
上面那个坐标怎么是67.9mA,还有它的Leff=L-2LD这个是直接用Leff=L=0.5u来算的还是什么的。还有就是有些题答案有时忽略二级效应,有时又没忽略,搞的非常郁闷~

多数正确
這個答案的版本是for RAZAVI課本第二版的習題作解答的~~然而~現在已經到第四版了
,,,,,,,,,,,,路过
谢谢相告!里面错的地方还是挺多的。但这就是扎维的风格,很多时候课后习题在章节里都找不到对应的例子。
对的,超级郁闷。有时候吧,考虑衬底偏置效应,考虑沟道调制效应,有时候又不考虑,而且更加过分的是,在同一道题目里面,真心不知道要怎么做才好。而且里面的很多数据都不知道是怎么得到的。
现在网上能下载的拉扎维手写答案是对应英文版第几版?
西交翻译的版本是对应英文第几版?
自己思考是最好的答案
。。
作为参考就好
申明:网友回复良莠不齐,仅供参考。如需专业解答,请学习本站推出的微波射频专业培训课程。
上一篇:放大器的一些疑问
下一篇:如何用cadence 对有源电感仿真

