关于拉扎维书上无源与有源电流镜部分有个不理解的地方
录入:edatop.com 阅读:
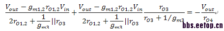
书上p127页。公式5.30。在用第二种方法计算电压增益时给出的公式,不理解为何镜像部分电流是两倍?而不是镜像部分电流加上Ix1等于-Vout/ro4?不是太理解,求指导。
这是书上的公式,根据我的理解,他是默认Ix1和M4通过M3镜像过去的电流一样大了,但是实际上Ix1比镜像过去的电流要大一点,镜像过去的电流只是Ix1电流的一部分。

这个公式中第一项是Ix1,第二项是镜像过去的电流,我的理解是这样子的。
近似而已,你精确推导完还是要化简,最终近似结果一样。
只是按照他的近似 我也想不明白是如何得到这个结果的。
这个公式的跳跃性比较大,他是根据在输出端口节点电流守恒推倒的,更直观的理解你可以认为是M3从输出节点抽走一个电流,有镜像到M4一个电流,。所以ro4承受两倍的电流。
看来跟5.27是一回事了。
这是书上的公式,根据我的理解,他是默认Ix1和M4通过M3镜像过去的电流一样大了,但是实际上Ix1比镜像过去的电流要大一点,镜像过去的电流只是Ix1电流的一部分。

这个公式中第一项是Ix1,第二项是镜像过去的电流,我的理解是这样子的。
左边两项近似相等,你继续推导还是要做这样的近似。
恩恩,在这一块我理解的和你一样,可能是作者取近似了吧,
看这本书的感觉就是 近似太多了。
书上近似的地方挺多的 不知道如此近似之后 在具体设计时指导作用有多强。
工程就是近似。计算越精确,实践上的指导作用越差。
好吧。原来是这样。
镜像部分电流为什么是通过1/gm3 的部分电流?
申明:网友回复良莠不齐,仅供参考。如需专业解答,请学习本站推出的微波射频专业培训课程。
上一篇:为何两根线越近,耦合电容越大呢?
下一篇:我们把日本企业想得太过轻淡!

