求助电阻失配的计算
录入:edatop.com 阅读:
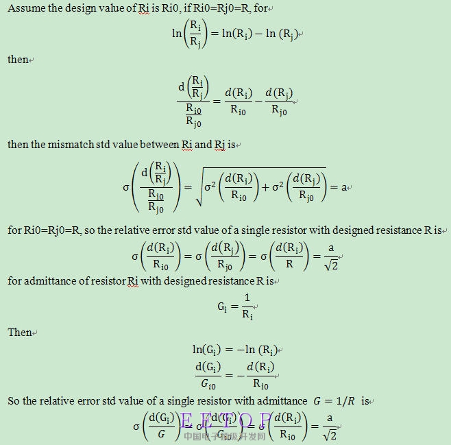
现有两个电阻,阻值分别是R1=4R和R2=(1/4)R,也就是四个R串联和4个R并联,如果两个单位R之间的失配是a,那么R1与R2之间的失配是多少?
不能沉啊!

太感谢您的详细解答了,不知这是那本书呢?能否分享下或是给个书名呢?
这里有个不错的教程
http://bbs.eetop.cn/thread-283168-1-1.html
失配方面不错的教程
申明:网友回复良莠不齐,仅供参考。如需专业解答,请学习本站推出的微波射频专业培训课程。
上一篇:spectre仿真中不收敛的疑问?
下一篇:帮忙看一下AMS混合仿真的问题

