请问大家如何能算出一个系统的传输函数来分析零极点?


很多论文中都是给出了框图后直接给出了传输函数,如上两图是一种LDO的零极点分析,
怎么才能快速的由电路图中分析出传输函数呢?谢谢指教
同问,都是直接写出传输函数然后来分析,期待高手解答
期待高手解答!
列出节点的基尔霍夫电流方程,就可以求解
这个自动控制原理里有,闭环传递函数框图可以简化成G(s)/1±G(s)H(s)形式。H(s)为反馈的传递函数。这就直接得出上面结果了
其实我觉得难在画出那个框图.在反馈明显的时候我就是按楼上说的来的...
不明显的时候就悲剧了,小信号模型推了半天,最还化不成标准形式...大部分情况下都失败,最后按自己理解的反馈来用那个反馈公式A(s)/(1+βA(s)).
如何直观的去画出传递函数框图的确不容易,只能慢慢琢磨积累了
关键还是要把电路抽象成模块,然后再用反馈网络计算。
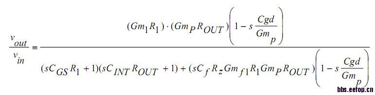
请问这个框图上面Differentiator中Cf、Rz等效传输函数sCfRz对吗?这个电阻和电容不是类似一个高通滤波网络 而高通电路的传输函数是sCfRz/(1+sCfRz)。请问我哪里想的有问题? 希望指导! 谢谢
请问这个框图上面Differentiator中Cf、Rz等效传输函数sCfRz对吗?这个电阻和电容不是类似一个高通滤波网络 而高通电路的传输函数是sCfRz/(1+sCfRz)。请问我哪里想的有问题? 希望指导! 谢谢
是不是可以这么说:
你说的那个RC电路确实是高通的,但这个模块在这个反馈系统中处于反馈环节,而不是前馈环节,如果是前馈的话,那么就是高通,而如果是反馈,正好相反,从公式来说,反馈环节就是把反馈因子放在分母上,而前馈是本身
从另一个角度来说,输出信号只有高频成分反馈到反馈节点上,而低频成分没有反馈作用,而反馈的效果就是大大削减了高频成分而对低频不起作用,等效于阻高频了
非常感谢,您最后的话我明白了,感觉很有道理,可是"如果是前馈的话,那么就是高通,而如果是反馈,正好相反,从公式来说,反馈环节就是把反馈因子放在分母上" 反馈因子为什么是sCfRz呢? 如果是与前馈相反的低通,低通的传输函数分母里面还有一个1啊? 基础不太好,不太理解,不知道哪里想的有问题 ,希望指教! 谢谢!
另外反馈 传输函数 这些应该看什么书 反馈控制理论? 谢谢!
RC的传输特性就是:G = j.RC.S/(1+j.RC.s)
假设反馈环节没有其他元件了,假设正向前馈通道环节用A表示,那么 (x表示输入, y表示输出):
(x-y.G).A=y
x.A=(1+AG)y
y/x=A/(1+AG)=1/(1/A + G)
G本身是高通特性,加入A是个常熟,那么传输特性等效于1/G
传输函数看自动控制原理前五章 (2~5章)差不多,也就是看到相位幅度分析,6,7章也可以看,一个是补偿方法,一个是Z域变换(在数字滤波器可能会用到吧)
先畫出signal flow diagram,接著使用MASON'S GAIN RULE得到transfer function.
MASON'S GAIN RULE->http://www.tomzap.com/notes/AutomaticControlsEE362K/MasonsRule.pdf
LZ
9楼的眼神很销魂啊
可是如果等效为1/G 那应该是1+1/SRC 而不是图中所示的sCfRz啊。 而且我推的也是前面的1+1/SRC 。 麻烦了!谢谢!
关于信号流图我有个疑问,就比如这个LDO的电路结构画其信号流图,它的跨导和电阻电容在信号流图中如何等效? 电压电压传输的信号流图上的节点表示电压? 节点间的传输路径表示电流?
对于复杂的系统可以用梅森公式,信号与系统的书上有
对于一个确定的信号流图或方框图,应用梅森公式可以直接求得输入变量到输出变量的系统传递函数。梅森公式可表示为
G(s)=Σ(Ρκ*△κ)╱△
式中 G(s)= ——系统总传递函数;
n——是前向通道数;
Ρκ——第k条前向通路的传递函数,由输入端单向传递至输出端的信号通道称为前向通道;
△——流图的特征式△=1-ΣLi+ΣLjLk-ΣLiLjLk
其中
Li——所有不同回路的传递函数之和;
LjLk——所有两两不接触的回路传递函数乘积之和
(注:三个回路两两不接触不代表这三个回路互不接触);
LiLjLk——所有三个互不接触回路传递函数乘积之和;
△κ——第k条前向通路特征式的余因子,即对于流图的特征式△,将与第k条前向通路相接触的回路
传递函数代以零值,余下的即为△κ。
回路传递函数是指反馈回路的前向通道和反馈通道传递函数的乘积,包含反馈极性的正、负号。
应用梅森公式将大大简化结构变换的计算,但当系统结构比较复杂时,很容易判断错误前向通道、回路、余子式的数目,因此常常将梅森公式和结构图变换结合起来用。也经常用两种方法互相验算。
有没有详细算法
是你啊!
顶,也想知道啊,期待大侠解答啊
Simulink求出状态方程再转成传输函数
适当简化一下
麻烦推荐本书,书名
申明:网友回复良莠不齐,仅供参考。如需专业解答,请学习本站推出的微波射频专业培训课程。
上一篇:求帮忙:用.18coms工艺设计差分放大器时把电阻换成P管就完全凌乱了....
下一篇:关于后仿生成calibre view的问题

