电路同时有正负反馈环路,怎么分析稳定性
录入:edatop.com 阅读:

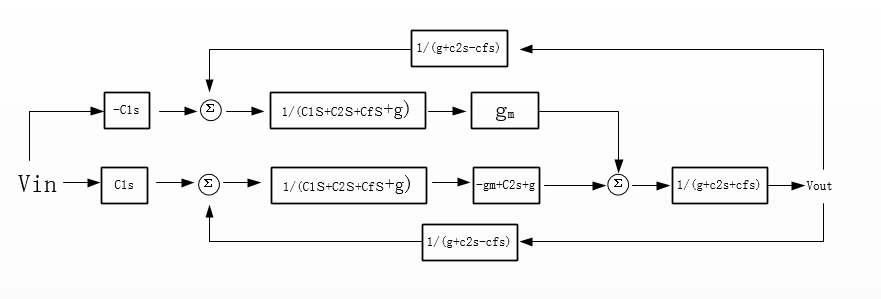
如图所示。该怎么从理论角度分析这个电路的稳定性。图中同时又正负反馈环路。


这是计算化简之后的传输函数,这里可以根据实际情况得出AV是一个负数。
个人认为,完整的传输函数都有了,拉式平面做零极点图判断稳定性就行了
thanks
你自己都推导出来了,线性系统满足叠加原理,只要整体反馈是负的就行,即负反馈大于正反馈
申明:网友回复良莠不齐,仅供参考。如需专业解答,请学习本站推出的微波射频专业培训课程。
上一篇:艾伦 第八章——比较器有几个不懂的地方
下一篇:“Crystal Oscillator Circuits”Matthys, R. J.

