低功耗放大器的设计基础分享
录入:edatop.com 阅读:
下图为基础的共源放大器(CS) 放大器。

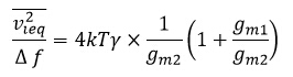
上图中两个圈圈代表等效噪声电流源

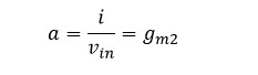
那么,这个放大器的输入等效噪声密度怎样计算呢?就是两个电流噪声源加在除以这个放大器的增益。对于这个共源放大器来讲,他的增益可以有下面公式得出:

如何理解这个增益:简单的来讲就是把输入电压转换为输出电流的能力,这个能力用什么来衡量?就是这个跨导,gm2.所以最后我们可以得到输入等效噪声(这里的噪声指的是MOS管的热噪声)为

最后未验证结果,

如果想了解更多相关的技术问题也可以扫描并关注下面公共账号


上图中两个圈圈代表等效噪声电流源

那么,这个放大器的输入等效噪声密度怎样计算呢?就是两个电流噪声源加在除以这个放大器的增益。对于这个共源放大器来讲,他的增益可以有下面公式得出:

如何理解这个增益:简单的来讲就是把输入电压转换为输出电流的能力,这个能力用什么来衡量?就是这个跨导,gm2.所以最后我们可以得到输入等效噪声(这里的噪声指的是MOS管的热噪声)为

最后未验证结果,

如果想了解更多相关的技术问题也可以扫描并关注下面公共账号




GOOOOOOOOOOD
kk...................
谢谢,可以加上面的公共账号,会有更多这种小知识。
谢谢,可以加上面的公共账号,会有更多这种小知识。怎么没回事?
申明:网友回复良莠不齐,仅供参考。如需专业解答,请学习本站推出的微波射频专业培训课程。
上一篇:想请教一下两级运放中零点的问题
下一篇:关于PLL环路带宽选取的问题

