- 易迪拓培训,专注于微波、射频、天线设计工程师的培养
大神教学:新SIW方形腔体双膜滤波器的设计
录入:edatop.com 点击:
根据多模激励的单腔体谐振器原理以及基片集成波导(SIW)高Q值、低损耗、大功率容量的特点,提出了一种新的SIW方形腔体双膜滤波器的设计方法。该方法 通过在SIW腔体两个对称角上切角作为微扰来使简并模式分离并产生耦合,从而形成了中心频率在 4.95GHz的窄带带通滤波器,并最终采用直接过渡方式实现了SIW到微带的转换。
SIW的双膜谐振器具有一对简并模式,可以通过对谐振器加入微扰单元来使这两个简并模式分离,因此,经过扰动后的谐振器可以看作一个双调谐电路。分离的 简并模式产生耦合后,会产生两个极点和一个零点。所以,双膜滤波器在减小尺寸的同时,也增加了阻带衰减。而且还可以实现较窄的百分比带宽。可是,双膜滤波 器又有功率损耗高、插入损耗大的缺点。为此,本文提出了一种新型SIW腔体双膜滤波器的设计方法。
该SIW的大功率容量、低插入损耗特性正好可以对双膜滤波器的固有缺点起到补偿作用。而且输入/输出采用直接过渡的转换结构,也减少了耦合缝隙的损耗。l 双膜谐振原理及频率调节
SIW是一类新型的人工集成波导,它是通过在平面电路的介质层中嵌入两排金属化孔构成的,这两排金属化孔构成了波导的窄壁,图1所示是基片集成波导的结 构示意图。这类平面波导不仅容易与微波集成电路(MIC)以及单片微波集成电路(MMIC)集成,而且,SIW还继承了传统矩形波导的品质因数高、辐射损 耗小、便于设计等优点。

1.基片集成波导谐振腔
1.一般情况下,两个电路的振荡频率越接近,这两个电路之间的能量转换需要的耦合就越小。由于谐振腔中的无数多个模式中存在着正交关系,故要让这些模式耦合 发生能量交换,必须对理想的结构加扰动。但是,为了保持场结构的原有形式,这个扰动要很小。所以,本文选择了SIW的简并主模TE102和 TE201,它们的电场分布图如图2所示。因为TM和TEmn(n10)不能够在SIW中传输。因此,一方面可以保证在小扰动时就可以实现耦合,同时也可 以保证场的原有结构。


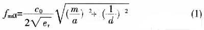
假设图3所示的矩形腔体的长、宽、高分别为a、b、d。因为TEmn(n10)不能在SIW中传输,所以对于SIW谐振腔来说,其谐振频率的计算公式如下:

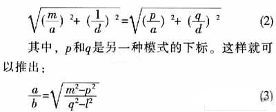
对于具有相同谐振频率的两个模式来说,则有如下关系:

根据选定的工作简并模式,利用公式(1)、(2)、 (3)来确定矩形波导谐振腔的初始尺寸,然后再结合有关文献,就可以确定SIW腔体的尺寸。图3所示是其金属矩形谐振腔的基本结构。
双膜SIW谐振腔及其频率调节
圆柱形波导、矩形波导和微带线都可以用来做双膜滤波器。然而,一些典型的双膜设计方法(如加调节螺钉、内角加工、在微带贴片上加入十字槽等)并不适用于 SIW腔体。有文献提到采用切角、打孔、馈电扰动等扰动方式来应用于SIW腔体。故此,本文选取了在SIW腔体对称的角上切两个相同的方形切角作为微扰方 式。
扰动腔体的谐振频率被分成f1和f2两个高低不同的频率,这两个频率的平均值(f1+f2)/2和原有腔体的谐振频率f0往往不相等。类似地,输入/ 输出部分的耦合也会造成谐振频率的平移。这样就会造成两种情况:一是(f1+f2)/2>f0;二是(f1+f2)/2< P>
是大于还是小于取决于耦合结构。对于第一种情况,可以通过加大谐振腔尺寸来调节频率移动;而对于第二种情况,则可以通过减小谐振器尺寸或者在谐振腔上开 个缝来减少谐振腔等效尺寸等方法来调节。当然也可以不调节,分别针对这两种情况加以利用。
在实际的工程应用中。要求 s<λ/20,当SIW工作在高频段时,为了满足上述条件,往往要求金属柱半径以及它们之间的间距很小,以至于加工非常困难。而此时就可以利用第一 种情况,以较大的尺寸在较高频率处实现良好的滤波性能,降低加工难度;而对于第二种情况,可以以更小的尺寸在较低的谐振频率处实现良好的滤波性能,从而实 现滤波器的小型化。本文就是有效地利用了第二种情况,从而设计出性能好、尺寸小的滤波器。
[page]
2 双膜滤波器的实现与仿真
图4所示是双膜SIW腔体带通滤波器的结构示意 图。在谐振腔的对角线上挖去两个相同的立方体,输入/输出采用直接过渡的转换结构。滤波器选用 Rogers RO3010作为介质基板,其相对介电常数εr=10.2,损耗角正切tan d为0.0035;谐振腔长度a为21.5 mm,宽b为21.5 mm,高h为0.5mm;切去的立方体边长cw为2.2 mm;中心馈线的宽度tw为0.72 mm。输入/输出采用无缝耦合的直接转换结构,这样可减少输入/输出结构的耦合损耗。

3 仿真结果分析
仿真可采用电磁仿真商业软件HFSS来完成。通过仿真介质谐振腔滤波器(滤波器源型)可以发现,不同的耦合输入/输出窗口宽度影响着滤波器中心频率的位 置,同时也影响耦合强度和带内插入损耗。从图5中看出,随着耦合窗宽度的增大,滤波器的中心频率会上移,耦合减弱,带内插入损耗变大,也就是滤波器的匹配性能变差。

针对切去的立方体尺寸对滤波器性能的影响。从方便的角度考虑,应先保证一个角上的正方体尺寸不变,而改变另一个切去的立方体尺寸,然后观察微扰变化对S 参数的影响。从图6所示的曲线可以看出,微扰尺寸几乎不改变S参数曲线的形状,对中心频点的影响不大,微扰越大,带宽越宽,相应的高阻带传输零点会往高频点移动。

从以上结果可以看出,通过改变微扰大小可调节滤波器的带宽,而改变耦合输入/输出窗口的宽度则可调节滤波器的中心频率和匹配性能。 综合以上仿真研究并结合公式(1)、(2),可先计算出SIW的相关尺寸。然后通过HFSS仿真对滤波器性能进行优化,最终所得出的设计电路具体尺寸为 h=O.5 mm,εr=10.2,tan d="0".0035,a=b=21.5 mm,d=0.8 mm,s=1.2 mm,cw=2.2 mm,tw=0.72 mm,cw=8.4 mm,ba=2 mm。

图7所示是本设计的双膜SIW腔体滤波器S参数的响应曲线。从图7中可以看出,采用本设计实现的滤波器的中心频率fo=4.95 GHz,3 dB相对带宽FBW=4.36%,通带内插入损耗为0.9 dB,反射损耗S11小于-22 dB,阻带右侧5.45 GHz处会形成一个传输零点,损耗接近-40 dB。
4 结束语
可以看出,通过应用SIW技术可以设计出具有良好性能的双膜窄带带通滤波器。其原理简单、尺寸小、重量轻、带内插损小、阻带衰减性能好;并且采用直接过渡的转换结构,从而减少了耦合输入/输出损耗。相信会在许多地方有非常广阔的前景。

