- 易迪拓培训,专注于微波、射频、天线设计工程师的培养
小型化宽阻带微带带通滤波器的设计方案
0 引言
近年来,随着移动通信系统、雷达系统以及超宽带通信系统的发展,小型化、宽阻带性能的滤波器在实际应用中受到了广泛关注。传统的并联分支线低通滤波器 和半波长平行耦合线滤波器的寄生通带都位于中心频率的2倍处,而传统的阶跃阻抗谐振滤波器的寄生通带在中心频率的2.5倍处左右,应用时很难获得宽阻带的 抑制效果。而且此类滤波器的尺寸较大,阻带窄,受微带加工最小宽度的限制,滤波器的性能受到一定的制约。为了得到陡峭的衰减边沿及更好的阻带特性,需要增 加短路或开路短截线数,但这会进一步增大电路尺寸,并且在通带内引入更多的插入损耗。通过在有限频率处引入传输零点可以获得较好的频率选择特性及带外抑 制。在滤波器的设计中,交叉耦合被广泛用来在阻带引入有限传输零点,这些传输零点可以很好地改善带边过渡特性及阻带抑制能力。
本文首先分析了阶跃阻抗谐振器的结构原理、三阶交叉耦合结构原理,随后提出了一种小型化宽阻带微带带通滤波器的设计方案,其寄生通带在中心频率的约4倍处,比一般的滤波器具有更宽的阻带,并对仿真与实测结果进行了分析,且得到了较好的一致性。
1 基本设计理论
1.1 阶跃阻抗谐振器原理
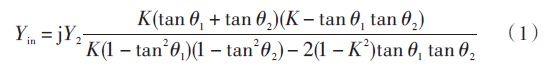
阶跃阻抗谐振器常采用λg /4 型、λg/ 2 型或λg 型三种基本谐振结构,其中λg /2 型谐振器的基本结构如图1所示,为非等电长度半波长结构,由特征阻抗分别由Z1 和Z2 的传输线组成,其对应电长度为θ1 和θ2.
如果忽略结构中的阶跃非连续性和开路端的边缘电容,从开路端看的输入导纳Yin 为:

式中:K 为阻抗比,定义为K = Z2 Z1.为设计方便,取θ1 = θ2 = θ,则式(1)简化为:

其谐振条件为:Yin = 0,得其基频振荡条件为K = Z2 Z1 = tan 2θ。由此公式可知,阶跃阻抗谐振器的谐振条件取决于电长度θ 和阻抗比率K.

1.2 三阶交叉耦合结构原理
对于窄带滤波器,其三阶交叉耦合滤波器的等效电路如图2 所示。

相邻谐振器间的耦合用M12 和M23 表示,交叉耦合用M13 表示。外部品质因数Qe1 和Qe3 各表示输入和输出耦合。图2所示的耦合滤波器等效电路可以被转换为一个低通原型滤波器形式,如图3所示。

其中每个矩形框代表一个频率不变的J 导纳变换器。在一个对称的二端口电路中,J12 = J23 = 1,g0 = g4 = 1,g1 = g3,B1 = B3.
2 滤波器设计实例
根据以上介绍的基本原理,本文设计了一个中心频率为3 550 MHz,相对带宽10%(绝对带宽为355 MHz),通带内回波损耗为-20 dB,高端4~13 GHz的抑制要大于20 dB的滤波器。采用的板材是Rogers 5880,其介电常数为2.2,介质损耗角正切为tan δ = 0.000 9,厚度为0.508 mm,铜箔厚度为0.018 mm,其电导率为5.7×107 S/m。
根据上面的三阶交叉耦合结构原理,可以得到三阶交叉耦合滤波器的低通原型参数值为[5]:
g1 = g3 = 0.757,g2 = 0.921 ; B1 = B3 = 0.098,B2 = - 0.46 ;J12 = J23 = 1,J13 = -0.237.且可得:

式中:f0 为谐振频率;f3 dB 为单端激励时谐振器的输入或输出3 dB带宽。
从而可以得到滤波器的初步的物理尺寸,再接合全波仿真软件仿真优化,最终得到滤波器的版图如图4所示,其具体的物理尺寸见表1.

图5 为该滤波器的仿真结果。从仿真结果可以看到在3.95~13.27 GHz的阻带内,其抑制在-20 dB以下。

其在高端产生了2个传输零点TZ1和TZ2,其频率分别为3.99 GHz 和4.55 GHz,其衰减分别为-53.83 dB和-61.25 dB.从图5中可以看到寄生通带的中心频率为13.98 GHz,使其谐波抑制达到3.92倍频,可以看到其宽阻带抑制的特性。
图6为加工实物图,可以看到其尺寸相对于传统的滤波器小了很多,说明了此结构具有小型化的优点。滤波器的最终设计尺寸(除了馈线外)仅为12.2 mm×11.5 mm,即0.21λg × 0.2λg,λg 是在中心频率处的波导波长。

由表2可知,本文所提的小型化宽阻带滤波器的各项性能大大优于已有文献结果。文献[7]是基于接地开口环的微带滤波器。

是微带发夹型SIR 滤波器,与它们相比,本文提出的滤波器的面积最大减小了63.5%,由此可见,此滤波器具有小型化宽阻带的特性。
使用的测试仪器为Agilent 公司的E5071C 矢量网络分析仪,在常温条件下对该滤波器进行测试,实际测量结果与仿真结果吻合较好,如图7 所示。从实测结果来看,中心频率为3.63 GHz,带内最小插入损耗为1.01 dB,带内反射优于17.25 dB.在高端有2个传输零点TZ1和TZ2,其衰减分别为-33.12 dB和-52.87 dB.从图7中可以看到,在4.106~13.1 GHz内,其抑制达22.45 dB以上,这说明此滤波器具有很宽的阻带抑制特性。

从仿真与实测对比可以看出,仿真与实测稳合较好,具有较好的一致性。只是中心频率稍微有点偏移,且带宽稍微变宽了一点,造成这样误差的主要原因可能是 由于制作工艺上的偏差,由于此结构中最小的间距是0.1 mm,通常要求的最小间距是0.2 mm;还有板材的不均匀性、不一致性,以及各种损耗,包括SMA接头损耗、介质基板铜箔的导体损耗、介质损耗和辐射损耗等,这些因素都会对实测结果造成相 应的影响。
3 结论
本文提出了一种小型化宽阻带特性的滤波器的设计方案。该方案设计了一个中心频率为3 550 MHz,相对带宽为10%,高端抑制有2 个传输零点的滤波器,使阻带抑制在3.95~13.27 GHz小于-20 dB,使寄生通带在中心频率的3.92倍处。滤波器的最终设计尺寸仅为0.21λg × 0.2λg,相比于其他发夹型SIR 滤波器,此滤波器的体积减小了63.5%.仿真结果和实测结果都都达到了较好的一致性,并且具有很宽的阻带,较低的插入损耗,呈现出很好的选择性和宽阻带 特性,且结构简单,易于实现,显示了很好的优越性。因此本方案具有实际的应用价值。
如何成为一名优秀的射频工程师,敬请关注: 射频工程师养成培训
上一篇:摩比推出一体化天线解决方案
下一篇:高效的辐射与散射仿真实现方案

