- 易迪拓培训,专注于微波、射频、天线设计工程师的培养
X波段移相器用微波锂铁氧体材料的制备
|
徐茂忠 【摘要】 对钛置换锂铁氧体进行了理论计算,在此基础上通过控制Fe含量,添加Ca、V离子及高压氧气退火等工艺,制备出了性能优良的微波铁氧体材料。 X波段移相器用微波锂铁氧体材料的制备Fabrication of Microwave Lithium Ferrites Used for X-band Phase Shifter
【Abstract】 In this paper the temperature dependent of saturation magnetization of titanium-substituted lithium ferrites has been theoretically calculated , then microwave ferrite materials with excellent performance have been made through controlling Fe content , adding Ca and V ,and annealing in high-pressure oxygen. 1 引言
t为Ti离子置换量。
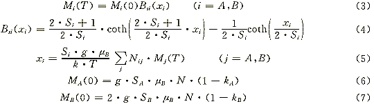
MA(T)、MB(T)分别为A位和B位的每摩尔磁化强度。由布里渊函数表示为
在(3~7)式中,Mi(0)为T =0K时每摩尔次晶格的磁化强度,g 、Si分别是次晶格i内的磁性离子的旋磁因子(Fe3+的g=2)和自旋量子数(S=2.5),μB为波尔磁子,N为阿佛加德罗常数,k为玻尔兹曼常数,T为温度,Nij为分子场系数。
分子场系数为
由(2~12)式可见,采用迭代法就可计算出所有磁化强度所对应的Ti含量。
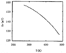
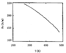
Xu Maozhong (Nanjing Research Institute of Electronics Technology Nanjing 210013)δ =-0.04~+0.04,x=0,0.005~0.02,采用氧化物陶瓷工艺进行实验,烧成样品磨加工后,再在750℃下进行高压氧气退火处理。 材料的饱和磁化强度Ms由磁天平测量,密度D用排水法测量,Bs、Br、Hc由SY-8216型磁滞回线测量仪测出,复数介电常数由Q表测出,复数磁导率由Wiltron 37217A型矢量网络分析仪测出。 4 结果与讨论 4.1 LiTi铁氧体材料性能随温度的变化 饱和磁化强度Ms及其温度稳定性是微波铁氧体材料的一个很重要的参数,它直接关系到微波器件的基本性能,而不同的微波器件对铁氧体材料又有特殊要求。对于移相器,铁氧体磁滞回线随温度的变化又决定了移相器的差相移和插入相移的温度特性。图1为LiTi铁氧体的饱和磁化强度随温度的变化,实验值和理论值比较接近,在300~400 K的温度范围之内,温度系数为0.001K-1,而LiTiZn铁氧体的温度系数为0.002K-1,图2~4为LiTi铁氧体的剩磁、矫顽力和矩磁比随温度变化的示意图。 |

| 图1 饱和磁化强度随温度的变化 |

| 图2 剩余磁化强度随温度的变化 |

| 图3 矫顽力随温度的变化
图4 矩磁比随温度的变化 4.2 Fe含量对LiTi铁氧体材料性能的影响 表1 Fe含量对LiTi铁氧体材料性能的影响 |
| 序号 | δ | D g/cm3 | Ms kA/m | ε′ | tgδe ×10-4 | μ′ | tgδm ×10-3 | R | Br mT |
| 1 | -0.04 | 4.47 | 174.4 | 17.4 | 15 | 0.89 | 3.18 | 0.94 | 154.0 |
| 2 | -0.02 | 4.48 | 175.4 | 17.5 | 10 | 0.88 | 2.26 | 0.93 | 154.0 |
| 3 | 0 | 4.48 | 179.7 | 17.0 | 9.0 | 0.88 | 0.79 | 0.94 | 154.3 |
| 4 | +0.02 | 4.44 | 181.3 | 17.0 | 9.8 | 0.88 | 2.33 | 0.94 | 155.2 |
| 5 | +0.04 | 4.43 | 181.8 | 16.8 | 21 | 0.87 | 2.68 | 0.94 | 156.1 |
| 4.3 Ca、V离子对LiTi铁氧体性能的影响 |

| 图5 Ca、V离子对LiTi铁氧体晶粒尺寸的影响 |

| 图6 Ca、V离子对LiTi铁氧体矫顽力的影响 |

| 图7 Ca、V离子对LiTi铁氧体烧结温度的影响 4.4 高压氧气退火对LiTi铁氧体损耗的影响 表2 高压氧气退火对LiTi铁氧体损耗的影响 |
| 序号 | ε′ | tgδe ×10-4 | μ′ | tgδm ×10-4 |
| 1 | 17.7 | 5.9 | 0.87 | 7.90 |
| 2 | 17.4 | 6.4 | 0.88 | 7.88 |
| 3 | 17.0 | 5.5 | 0.87 | 3.95 |
| 4 | 17.2 | 9.0 | 0.87 | 5.70 |
| 5 | 16.7 | 9.7 | 0.86 | 5.52 |
| 4.5 材料的使用情况 用上述方法制备的LiTi铁氧体应用于X波段双模互易移相器,获得了令人满意的结果。材料退火前,在10GHz频率上,器件的插入损耗为0.8dB,电压驻波比小于1.2,差相移为400°,带宽达10%,但在退火后器件的插入损耗可小于0.6dB,其它性能却不受影响。 5 结论 通过Neel分子场理论的计算,可以比较准确地确定饱和磁化强度,选择具有最佳温度稳定性的材料;添加少量的Ca、V离子,不仅能细化晶粒,而且可以扩大烧结温度范围,提高材料的成品率,降低生产成本;严格控制Fe含量及氧气退火处理,可明显地降低电磁损耗,制备出性能优良的微波铁氧体材料,满足器件的要求。
作者简介:徐茂忠 1987年毕业于兰州大学物理系,获学士学位。长期以来一直从事雷达天线系统微波铁氧体材料的研究工作。 作者单位:南京电子技术研究所 南京 210013 参 考 文 献 1 P D Baba et al. Fabrication and properties of microwave lithium ferrites. IEEE Trans.Magnetics,vol. MAG-8,1972:83 本文1999年1月14日收到,5月21日收到修改稿。 |




