- 易迪拓培训,专注于微波、射频、天线设计工程师的培养
微波暗室用铁氧体吸波元件的研究
微波暗室用铁氧体吸波元件的研究
邓廷成,任 斌,何秀英
(四川绵阳新欣电子有限公司,四川绵阳 621000)
摘 要:通过理论分析,给出了铁氧体吸波体的吸波性能与其磁损耗角正切之间的数学表达式,并对用于微波暗室的吸波体的典型铁氧体材料进行了性能分析,在此基础上,总结出了几点对开发铁氧体吸波体具有指导意义的设计准则,最后介绍了本公司研制、生产的XFT-100型铁氧体吸波体系列产品。
关键词:EMC;微波暗室;铁氧体吸波体
1 引言
微波暗室主要用于替代开阔场地(OATS)以进行电磁干扰(EMI)性能的测试。一些辐射干扰敏感度的测试也可以在微波暗室中进行。铁氧体吸波体是保证EMC屏蔽暗室符合FCC及IEC标准低频性能要求的关键元件之一,将其直接贴在屏蔽暗室的金属壁上,可最大限度地吸收电磁波的低频部分,工作带宽达30~1000MHz。微波暗室一般分为标准10米法、标准5米法、标准3米法及一些非标准尺寸(如小3米法)等。由于微波暗室在屏蔽室内模拟开阔场地的测试环境,因此必须对屏蔽室墙壁上的反射进行有效抑制。FCC和欧盟标准要求EMC测试的频率下限为30MHz,因此EMC微波暗室必须在这一频率范围内提供可接受的测试精度。国际电工委员会(IEC)定义了测试电子设备辐射敏感度的均匀场要求的频率范围最低到26MHz,高到几GHz。通常EMC微波暗室要在低频端(即30MHz到150MHz)满足辐射干扰测试的场地要求是颇具挑战性的问题,其中最关键的问题在于射频吸收体在低频范围的性能。
用于EMC屏蔽暗室的射频吸波体可以分成三大类:电(绝缘)吸波体、磁性吸波体(铁氧体贴砖)、以及复合吸波体(铁氧体贴砖和泡沫塑料吸波体的复合体)。磁性吸波体主要是通过与电磁波的磁场相互作用来吸收其能量。由于在金属表面的磁场最强,因此可以充分发挥金属屏蔽室墙壁的优势。通过将磁性吸波体安装在屏蔽墙上,可加强其吸波性能,使其发挥最佳功效。商业上有三种不同的磁性吸波体:即薄片式、方格式铁氧体吸波体以及橡胶基硅吸波片。薄片式、方格式铁氧体贴砖的主要成分是NiZn铁氧体材料,通过陶瓷工艺以获得高的磁导率和高的磁损耗角正切来保证其优良的吸波性能。通过正确设计,厚度仅几毫米的磁性吸波体在30MHz的低频端都具有很好的对法向入射波的吸收能力。
本公司运用优化设计方法,研制成功了XFT-100型铁氧体吸波元件系列,其中,目前国内外EMC屏蔽暗室广泛使用的两种规格的铁氧体吸波体已投入了批量生产。由于采用了一系列先进生产工艺技术,该系列产品经国内有关方面和日本厂商的初步测试,认为其各项性能指标已达到了国外同类产品水平。
2 理论分析
图1是贴在金属屏蔽墙上的铁氧体吸波体的典型情况。其反射系数可表示为:![]()
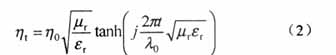
其中:г为反射系数,η0为自由空间波阻抗,ηt为贴在金属表面上铁氧体吸波体的波阻抗,可表示为:

其中:μr为复磁导率,εr为复介电常数,t为铁氧体吸波体的厚度,λ0为自由空间波长。
在低频部分,由于铁氧体吸波体的厚度比电磁波的波长要小得多,因此:
从该式可以看出,在低频范围内复介电常数对铁氧体吸波体波阻抗的影响可忽略不计。将该式代入(1)式,并且
则反射系数可以进一步表示为:
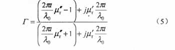
同时,由于在30MHz的低频段附近,
→1,因此反射率可以最终简化为:![]()
该式给出了铁氧体吸波体对垂直入射电磁波的反射性能与其固有的磁损耗角正切的简单关系,表明了提高铁氧体磁损耗角正切可以提高其吸波性能,这对铁氧体吸波体的设计具有直接指导作用。
3 性能分析
本公司开发的铁氧体吸波体系列产品主要以公司已通过鉴定的R3K射频宽带NiZn铁氧体材料系列为主导配方,该材料系列曾荣获2001年度四川省科技进步三等奖。图2给出了其中的R2K5材料的相对磁导率,图3是该材料分别利用(1)式和(6)式计算的反射率。从图3可以看出,(6)式在50MHz以下都给出了很好的结果,在大约100MHz以上差别较大,这说明了复介电常数在高频段对反射率的影响。




图4为R2K5材料介电常数频谱,可以看出,在100MHz以下,介电常数基本上保持不变,且其虚部可以忽略不计。这也进一步说明,铁氧体吸波材料的设计应当主要考虑磁导率的影响。
根据(1)式计算吸波体厚度t对反射率的影响,如图5所示。可以看出,在低频段,厚度对吸波性能具有显著影响,吸波体越厚吸波性能越好,但厚度的增加意味着重量的增加,这对工程安装和使用成本的控制都是不利因素。
4 设计准则
根据以上的理论和计算分析,可以得出以下几点关于铁氧体吸波体的设计准则:
(1)铁氧体吸波体设计的关键在于提高低频(30MHz附近)部分的吸波性能。
(2)在低频部分,铁氧体吸波体的吸波性能与其固有的磁损耗角正切有直接关系,提高铁氧体磁损耗角正切可以直接提高其低频吸波性能。
(3)在低频部分,铁氧体吸波体的厚度对吸波性能具有显著影响,厚度越厚其吸波性能越好,设计中应综合考虑吸波体的厚度及其重量的影响。
(4)介电常数对吸波性能的影响主要在100MHz以上的高频部分。
5 本公司生产的铁氧体吸波贴砖系列产品
本公司研制成功的XFT-100型铁氧体吸波体系列产品,采用具有高磁损耗角正切的NiZn铁氧体材料,运用500~1000吨大吨位自动液压精密成型、精确温控保形烧结以及全六面高精度研磨等一系列先进技术,产品的电气性能和外观尺寸已达到国外同类产品水平,已通过了国内有关方面和日本、德国厂商的初步测试和认定,反映良好。目前,公司已开发出矩形(薄片式、方格式)、瓦形和锥形等铁氧体吸波元件,其中有两种型号和规格已批量生产,如表1所示。

6 结论
EMC微波暗室要在低频端(即30~150MHz)满足辐射干扰测试的场地要求的关键在于射频吸收体在低频范围的性能。通过正确设计,厚度仅几毫米的铁氧体吸波体在30MHz的低频端都具有很好的对法向入射波的吸收能力。本文建立了铁氧体吸波体设计的理论模型,利用该模型对公司新近研制成功的以R3K材料系列为基础的铁氧体吸波体进行了优化设计和性能分析,并初步总结出了关于铁氧体吸波体的设计准则。运用这些准则,本公司成功地研制和生产出了两种目前使用最广泛的铁氧体吸波体,其电气性能和机械性能已达到了国外同类产品的水平。

