- 易迪拓培训,专注于微波、射频、天线设计工程师的培养
一种高码速率微波锁相调频遥测发射机
一种高码速率微波锁相调频遥测发射机
周邦华
(中国工程物理研究院电子工程研究所,四川绵阳621900)
关键词:再入遥测;锁相调频;发射机;PCM体制
一、引 言
目前,再入遥测系统正朝着更高传输速率的方向发展,即所要传输的数据容量和参数种类在急剧增加,要求PCM信号的码速率已增加到2 Mbit/s或更高。在国际遥测频段,要实现2 Mbit/s PCM信号的调频,构成调频遥测发射机的技术方案有2种。一种方案是在晶体振荡器上进行调频,然后再通过倍频、滤波和放大链路来达到所需的工作频率、功率和调制特性。该方案使用经典电路,容易实现高码速率信号的宽带调频,但其电路结构复杂,调试难度大,杂波抑制比和工作稳定性也不十分理想。另一种方案是在微波频段进行锁相调频,也就是在锁相振荡器中采用两点注入式调频方式实现2 Mbit/s再入遥测信号的宽带调频,然后将其输出的已调微波信号通过MMIC微波功率放大器放大到所要求的输出功率电平。它克服了第一种方案的缺点,可达到较好的技术性能,是工程应用中比较好的技术方案。两点注入式调频也有2种实现方式,即完全两点注入式调频方式和准两点注入式调频方式。前一种方式是将PCM信号分成两路,一路注入到S波段压控振荡器,另一路注入到晶振参考源。在晶振进行宽带调频,将与频率稳定度之间有一定的矛盾,具体实现有较大技术难度,而后一种方式却不存在这一问题。本文研究的调频遥测发射机将选用准两点注入式调频方式。
二、准两点注入式锁相调频遥测发射机的构成
准两点注入式微波锁相调频遥测发射机的框图如图1所示,它由锁相调频源和功率放大器组成。其中,锁相调频源是由压控振荡器、分频器链路、晶振参考源、鉴相器、环路滤波器、输入调整电路、积分器和输出微带隔离器构成。
在该调频遥测发射机中,输入的PCM信号经过调整电路后被分成两路,一路直接注入到S波段压控振荡器输入端,使压控振荡器的输出频率随着调制信号线性变化,实现直接调频;另一路经过一个积分器注入到环路滤波器输入端口后,再对压控振荡器进行调相来实现间接调频。该调频方式就称为准两点注入式微波分频锁相调频。

三、准两点注入式调频特性的分析
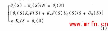
图2为准两点注入式锁相调频电路的相位模型。图中,为简化分析,输入调整电路未考虑进去,但不影响分析结果。Kv(rad/sV)是压控振荡器的压控灵敏度,N为分频器链路的分频比,Kd(V/rad)是鉴相器的鉴相灵敏度,Km(1/s)为积分器的积分时间常数,F(S)是环路滤波器的传递函数,UΩ(S)为输入PCM信号。
由相位模型可得:

环路的误差传递函数为

所以,产生的调制频偏为

式(4)表明,在准两点注入式调频中,合理设计积分器,选择其积分常数Km满足下列条件:
其调频特性将为一平坦的直线Kv,即可得到与环路响应无关的宽带调制特性。这一技术特性正好满足高码速率再入遥测信号的调频要求。

四、主要电路的设计
1.VCO调频电路
为适应2 Mbit/s PCM信号传输和宽带调制的要求,采用的压控振荡器的调频电路应具有调制线性范围宽、调制频偏大的特性。据此,选用双变容二极管部分电容接入回路形式的调频电路,如图3所示。

图中,电感L为一段四分之一波长、特性阻抗为100Ω的高阻抗微带线,它将V1的正极直流接地。V1和V2为相同型号的变容二极管,V3为压控振荡器的振荡管。
要使2 Mbit/s PCM再入遥测信号能在调频电路中产生调制响应,并有较大的调制频偏,其技术关键在于变容二极管的选取。对于变容二极管,它的结电容Cj和所加的电压信号VR之间有如下关系:![]()
式中 φ为变容二极管内建电位差(对于GaAs管,φ=1.3 V); C′0是VR=0时的结电容,为一常数;γ是电容-电压斜率指数。
选择变容二极管时,电容-电压斜率指数γ是我们应考虑的重要因素。因为,γ≈1的变容二极管仅适用于窄带调制,而1.2<γ<1.4的变容二极管是宽带调制的最佳选择。例如,选取美国MACOM公司生产的GaAs超突变结变容二极管MA46482,其γ值为1.25。
2.环路滤波器和积分器电路
环路滤波器和积分器电路如图4所示。其中,环路滤波器采用有源比例积分低通滤波器,由运算放大器CA3140E和R1、R2、C组成。积分器由另一个CA3140E和R0、C0构成,为有源积分器。

环路滤波器中R1、R2、C的值由环路自然谐振角频率ωn和阻尼系数ξ这两个参数决定,其计算公式为
对于有源积分器,它的积分时间常数计算式为
式中,A为运算放大器的电压放大倍数。已知CA3140E的A=2×104,由式(5)可计算出Km=18.85。若选取R0=2 MΩ,则由式(8)得
另外,为确保有源积分器能正常工作,其运算放大器的3脚应接上一个20 kΩ的电阻。
3.分频器链路
锁相环路中的分频器链路是使用"÷4分频器"IFD-53110和"÷80分频器"SE114来组成,如图5所示。IFD-53110是MMIC微波高速分频器,属于微波和ECL电路,最高工作频率达3 500 MHz。
SE114也属于MMIC微波高速分频器,最高工作频率达1 000 MHz,其输入电路为ECL逻辑,输出电路为标准TTL逻辑接口,最低输出电平0.5 V,最高输出电平2 V。

4.MMIC微波功率放大器模块
调频遥测发射机中的微波功率放大器采用由硅三极管管芯构成的MMIC功放模块,如图6所示。它由激励级、功率放大级和直流供电电路组成,其外形尺寸仅有30 mm×28 mm×10 mm,输入和输出均为微带形式。该模块的输出功率大于5 W,功率增益21 dB,工作电流小于1 A。

五、实验研究结果
本调频遥测发射机中压控振荡器的振荡管选用AT-42070晶体管,鉴相器是MC4344集成块,晶振参考源选用温补晶振ZWB-18B。将微波高速前置分频器和压控振荡器电路制作在40 mm×30 mm的微带片子上,锁相环路和其它电路一起制作在76mm×70 mm的印制板上,整个发射机体积为158 mm×85 mm×35 mm。经过精心调试和反复实验后,调频遥测发射机达到了以下主要技术指标:
(1)工作频率:S频段;
(2)输出功率大于7 W;
(3)频率稳定度达到±1×10-5;
(4)输入2.048 Mbit/s PCM信号,调制频偏±700kHz;
(5)杂波抑制比达55 dBc;
(6)工作电压+27 V,电流小于1.3 A。
对于上述调制频偏一项指标,目前用频偏仪还无法测量这么大的频偏,只能使用频谱仪进行间接测量。按照调频理论,对于单一频率的PCM输入信号,当调制指数为mf时,调频波的第一对边频分量与主频分量的电平差:
![]()
式中,J0(mf)、J1(mf)是零阶和一阶第一类贝塞尔函数。就2 Mbit/s调频系统来说,PCM调制信号的最高频率fm为1 MHz,按国际遥测标准要求,其调制频偏应为±700 kHz,相应的调制指数mf=0.7,由(9)式可计算出δA=-8.56 dB。因此,如果在频谱仪上测得第一对边频分量与主频分量的电平差值达到-8.5 dB左右,即可确认为该调频波的调制频偏达到了±700 kHz。
六、结束语
采用准两点注入式调频方案的微波锁相调频遥测发射机,当积分器的参数设计适当时,调制特性与环路参数无关,使环路参数的设计范围增大,有利于提高发射机工作状态的稳定性。准两点注入式微波锁相调频具有平坦的宽带调制特性,该技术适用于2 Mbit/s再入遥测系统中调频遥测发射机的研制。在电路实施方案中,大量使用了MMIC集成器件,使调频遥测发射机的体积得到了小型化。文中的分析结果和给出的主要电路,对未来有关的工程研制有较大的技术参考价值。
[2] Two-Point FMof PLL[J].ACTA.Electron Sin.Vol.12,N0.3,P19~24.
[3] 张义芳,冯建华.高频电子线路[M].哈尔滨工业大学出版社,1996.
[4] 张厥胜,张会宁,刑静.锁相环频率合成器[M].电子工业出版社,1997.

