- 易迪拓培训,专注于微波、射频、天线设计工程师的培养
BOC调制信号频谱特性及仿真分析
摘要:BOC调制技术是一种广泛应用于GPS的现代化以及伽利略系统中新型信号调制技术。为研究其频谱特性,分析了BOC调制技术的基本原理及信号的产生过程,应用Matlab软件对其频谱特性进行了仿真,阐述了这种信号调制方式的优点;此外对其扩展技术MBOC,CBOC,TMBOC以及AltBOC做了简要介绍,对进一步研究导航信号现代化具有一定意义。
关键词:卫星导航系统;二进制偏移载波;调制;频谱特性;导航信号
0 引言
导航系统自古以来在人类历史上都发挥着重要作用,随着科技的发展,越来越多的军用和民用设备开始采用卫星导航系统作为导航的基本手段。现有的卫星导航系统主要有美国的GPS系统,俄罗斯的GLONASS系统,中国的北斗卫星导航系统以及欧盟的伽利略系统。卫星导航系统在进行通信时需要占用一定的频谱带宽,由于频谱资源的有限性,如何使这些卫星导航系统能够在有限的频带范围内高效工作又不相互影响,是一个亟需解决的问题。
频谱资源的分配工作由国际电信联盟(ITU)来完成,由于它对导航频段分配的限制,伽利略系统和GPS系统必须共用一个带宽,而最理想的中心频点以及C/A码信号都已经被GPS系统所占据,因此伽利略系统的信号在设计时只能避开C/A码信号所处的频段。本文提到的BOC(Bina ry Offset Carrier,二进制偏移载波)信号调制技术就是在伽利略系统设计过程中由John.W.Betz提出的一种新型的载波调制方式。文中介绍了BOC信号调制的基本原理和产生过程,重点利用Matlab对信号的频谱特性进行了分析,指明了这种信号调制方式的优点;并在此基础上对其常用的一些扩展技术进行了简要介绍。
1 BOC调制的基本原理和特性
GPS系统的信号调制多采用BPSK(二进制相移键控)调制。为了避开它的中心频点,BOC信号在设计时需要进行一定的频谱搬移。因此,BO C信号调制技术的基本原理是在原有的广泛应用于GPS系统的BPSK基础上,增加一个二进制副载波(目前主要是由正弦或余弦型符号函数(sgn函数)构成的副载波,即形似sgn[sin(t)]或sgn[cos(t)],以正弦或余弦信号为参数的符号函数),使其频谱产生适当偏移。这种调制方式的最大特点是信号功率谱的主瓣发生了分裂,变成对称的两部分,并且根据所选择的参数不同,两个分裂主瓣的距离也可以变化。BOC信号调制的原理图如图1所示。可见,BOC信号调制实际上就是以一个方波作为副载波,对卫星产生的码元信号进行一次辅助调制,之后再将其调制到主载波上,即信号S(t)和一个频率为fs的副载波相乘,使信号的频谱分裂成两部分,位于主载波的左右两部分。从另一种角度来看,BOC信号调
制技术实际是为信号的功率谱赋形的一种反推过程,是根据实际需要而生成的一种调制技术。

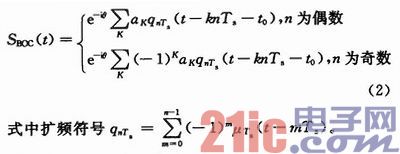
BOC信号的复数表达式如下:
![]()
式中:ak是经过数据调制后的扩频码,有单位幅值,相位则在符号表中随机选取。对于二进制调制来说,符号表中的符号只有两个:+1和-1,即是二相的。一般情况下,符号可以是正交相移键控、更高阶相移键控或交错正交相移键控等;CTs(t)是副载波,是周期为2Ts的周期函数;μnTs(t)是扩频符号,是持续时间为nTs的矩形脉冲,n是一个正整数,表示在一个扩频符号持续期内副载波的半周期数;θ和t0分别是相对于某个基准的相位和时间偏移。
由上式可见,当没有副载波CTs(t-t0)时,偏移载波调制信号就是普通的PSK调制信号,或者说,偏移载波调制信号是一个调制了副载波的普通PSK调制信号。
在BOC调制信号中,扩频码与扩频符号之积μnTs(t-knTs-t0)是持续时间为nTs,幅值为+1或-1的矩形脉冲,副载波CTs(t)为方波。图2是一个简单的BOC信号调制波形的示例。

BOC信号调制主要由两个参数来描述:副载波频率和传播的码率,表示为BOC(m,n),其中参数m表示副载波频率为fs=m×fbase,n表示码率为fc=n×fbase,其中fbase=1.023 MHz是卫星导航信号的基频。例如,BOC(5,2)表示fs=5×1.023 MHz=5.115 MHz和fc=2X1.023 MHz= 2.046 MHz。

图3所示是BOC调制信号产生的方框图,所有的数据码、扩频码、副载波和射频信号均由一个共用的基准时钟产生,因此跨零点是对齐的。此外,所有的基带信号都是二进制的,因此可以用二进制逻辑电路来实现BOC调制信号,而不需要使用线性电路,这也是BOC调制信号的优点之一。
2 BOC调制信号的频谱特性
为了导出BOC调制信号的频谱,可以将式(1)改写成如下的等效形式,即有特殊形状扩频符号的BPSK调制信号:

可见,qnTs中包含方波的n个半周期Ts,也就是n个+1和-1之间的变换。当n为偶数时,qnTs(t)是一个均值为零的平衡符号。
当BOC扩频序列的二进制值为等似然、独立且均匀分布时,借助于对BPSK调制信号频谱公式的推广,可以从式(2)求出BOC调制的归一化基带功率谱密度:

可见,当n分别为偶数与奇数时,功率谱密度之间只是一个正弦或者余弦函数的差别。
BOC调制信号的功率谱密度函数形状由一些主瓣和副瓣构成,并具有如下特征:
(1)主瓣数与在主瓣之间的副瓣数之和等于n,即2fs/fc;
(2)主瓣宽度(功率谱密度零点之间的频率间距)是扩频码速率的两倍,这和普通PSK调制相同,而旁瓣宽度等于码速率,即比主瓣窄一半;
(3)主瓣的最大值发生在比副载波频率fs略小的地方,这是因为上下边带之间有相干交互作用的缘故;这样,当fs,fc及n取不同的值时,将会有不同的频谱。由于BOC调制的扩频码是矩形脉冲,副载波也是方波,因此,它的频谱是无限带宽的。
为了验证以上结论,对一些典型的BOC调制信号的功率谱密度进行仿真,结果如图4所示。

BOC信号调制技术具有以下优点:可以实现频段共用,同时实现频谱分离;具有更好的相关函数性能,其相关函数相对于相同码速率的BPSK调制方式而言更为陡峭,从而具有更高的码跟踪精度和更好的多径分辨能力。
3 其他BOC调制技术简介
BOC调制主要包括基本的正弦调制SinBOC,余弦调制CosBOC;复用调制MBOC,包括复合调制CBOC和时分调制TMBOC;交替载波调制AltBOC等。
3.1 MBOC调制
MBOC(Multiplexed Binary Offset Carrier,复合二进制偏移载波)调制其实是BOC副载波调制信号的一种复用方式。这是由Guenter W.Hein领导的GPS信号设计团队和John W.Betz领导的Galileo信号设计团队共同提出的一种调制方式。目前经过优选,主要讨论和设计应用的是BOC(1,1)和BOC(6,1)的组合。根据数据通道和导频通道的功率分配要求,以及采取具体的调制方式不同,这种组合可以有很多种,具体可参考相关文献。
作为一种信号复用的统称,MBOC的实现方法目前主要有两种,即CBOC(Composite BOC)和TMBOC(Time-Multiplexed BOC)。前者用于欧盟Galileo系统的L1 OS信号,后者用于美国GPS系统的L1C信号。简单说来,CBOC是根据BOC(1,1)和BOC(6,1)不同的功率(幅值)权重构成的四电平符号来实现的调制,是幅值的复合式实现;而TMBOC则是一种类似时分复用的方式,即规定一组码片的长度,在这组码片里固定的几个位置里是BOC(6,1),其他位置都是BOC(1,1)。
3.1.1 伽利略系统的CBOC信号
如果BOC(6,1)被用于数据信道和导频信道,则基带OS(开发服务)部分可以表示为:
Sos(t)=CD(t)d(t)[Px(t)+Qy(t)]+CP(t)[Px(t)+Q(t)]
式中:CD和CP分别是数据信道和导频信道的扩频码序列;d是导航信息;x和y分别是BOC(1,1)和BOC(6,1)的副载波波形;
分别表示BOC(1,1)和BOC(6,1)的波形的权重。
3.1.2 GPS L1C信号的TMBOC调制信号
TMBOC调制信号模型可以表示为如下形式:
![]()
式中:S1是用BOC(1,1)副载波时的时间段;S2是用BOC(6,1)副载波时的时间段。S2的长度是扩频码长度的P%。GPS L1C信号的导频信道占总能量的75%,数据信道占25%。而且仅有导频信道包含BOC(6,1)成分,也就是说,数据信号是纯粹的BOC(1,1)信号,导频信号是TMBOC(6,1,4/33)。大部分接收机都是利用导频信道进行跟踪的,因为它们具有更强的相位跟踪性能和较长的连续积分时间。
以上这两种方式都能满足功率谱分配的要求,但在功率谱函数的形状上有所不同。这样,在热噪声和多径效应存在的情况下,可以用这两种方法通过在远离中心频率处增加一些功率来改善跟踪性能。
3.2 AltBOC调制
AltBOC(Alternative BOC,交替二进制偏移载波)是一种和BOC调制信号类似的新型信号调制方式,它主要用于伽利略系统中的E5频带的开放服务(OS)信号的传输。AltBOC调制技术具有一般BOC信号的所有优点,如频谱分离,抗干扰能力强,测距精度高等,同时又不像BOC调制信号那样,两个主瓣传输相同的信息。具体说来,在AltBOC调制中,可以做到使一个主瓣的边带传输一路信号,这样对频谱的利用率更高,而这种方法带来的缺点是带宽过宽,在实现和接收时受滤波器带宽限制较大。此外,理论的AltBOC信号为非恒包络信号,为了在传输过程中通过饱和大功率放大器时不产生非线性失真,对AltBOC信号进行调整,使之成为恒包络的8PSK—AltBOC信号。
AltBOC调制方式的优点如下:
(1)频谱利用率高:与BOC信号相比,等效于BOC的上边带和下边带传输不同的信号;
(2)接收比较灵活:在信号接收端,既可以将整个频段信号作为整体接收,然后采用AltBOC接收技术进行处理,也可以上下频段信号单独接收处理。若单独接收,将等效为传统的QPSK调制;
(3)同时接收整个频段信号,其损耗低于分别接收上下频段信号;
(4)可改善抗码噪声、码多径、载波多径的性能,同时可降低电离层的影响,具有很好的码跟踪性能。
4 结语
本文从基本原理、信号形式、自相关函数、功率谱以及调制特性等方面对BOC信号调制技术及其扩展技术做了介绍,并用Matlab软件对频谱特性进行了较为详细的仿真分析,从这些分析可以看出,BOC信号调制技术具有其他卫星导航信号调制方法所不具备的特殊性质,因此是目前最合适的用于实现频谱共用与频谱分离的卫星导航信号调制方法,这对进一步研究导航信号现代化具有重要意义。
如何成为一名优秀的射频工程师,敬请关注: 射频工程师养成培训
上一篇:乐山旅游景区信息化解决方案
下一篇:WLAN主要网络接入方式的优势

