- 易迪拓培训,专注于微波、射频、天线设计工程师的培养
零中频接收机的技术挑战及解决方案
录入:edatop.com 点击:
2.2 零中频接收机的挑战及解决方案
零中频接收机到目前为止,还只用于手持设备上,在基站上还没有应用,原因是在零中频架构上,有很多无可避免的噪声源没有办法得到抑制,本文将重点讨论闪烁噪声(1/f),直流偏置(DCoffset);I/Q 不平衡;偶次谐波。
1. 闪烁噪声(1/f)
闪烁噪声是有源器件固有的噪声,其大小随频率降低而增加,主要集中在低频段,闪烁噪声对搬移到零中频的基带信号产生干扰,降低信噪比,在通常的零中频接收机中,增益都放在基带,射频部分(LNA和解调器)的增益大概在30dB左右,所以下变频信号大概会在几十微伏,所以射频输入级(LNA,滤波器等等)的噪声就变得非常重要。
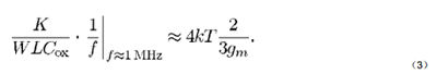
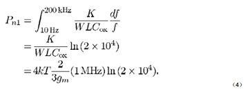
为了更好理解闪烁噪声,我们可以来分析一个独立的MOS管,在输入闪烁噪声和纯热噪声情况下的噪声恶化情况,对一个典型的亚微粒MOS管,计算带宽为1MHz情况下的闪烁噪声:(3)

计算从10Hz到200KHz的带宽内的闪烁噪声如下

如果只考虑热噪声

如果考虑闪烁噪声的情况下,噪声增加了Pn1/Pn2=16.9dB, 而在超外差结构中,闪烁噪声将无关紧要,因为信号主要在中频进行放大。
减少闪烁噪声的方法(3):下变频器后的链路工作在低频,这样可以选择双极性晶体管,从而能够降低闪烁噪声;另外采用高通滤波器和类直流校准也能够抑制低频的噪声。
如何成为一名优秀的射频工程师,敬请关注: 射频工程师养成培训
上一篇:M2M通信技术植入智能手机平台
下一篇:应对4G时代智能手机天线设计挑战

