- 易迪拓培训,专注于微波、射频、天线设计工程师的培养
一种新型的双模双通带滤波器的设计方案
0 引言
随着现代无线通信技术的飞速发展,同时工作在两个或多个频段的通信系统成为无线通信研究的一个重要方向,因此多频微波元件是近年来的研究热点之一, 这带动了多频滤波器技术的发展。例如无线局域网(WLAN)和宽带互通微波接入(WiMAX)等。目前的WLAN 主要工作在2.45 GHz(2.4~2.484 GHz)、5.2 GHz(5.15~5.35 GHz)和5.8 GHz(5.725~5.825 GHz),而WiMAX工作在2.5 GHz(2.5~2.69 GHz)、3.5 GHz (3.4~3.69 GHz)和5.5 GHz(5.25~5.85 GHz)。另一方面,具有小型化、低成本、易制作等特性的多频段滤波器已经成为现代无线通信系统中最重要的电路组成器件之一。
微带双模滤波器由于结构简单、尺寸小、重量轻、成本低、易于集成、插入损耗低,且固有的阶数是传统滤波器阶数的一半,能够减小尺寸,使结构更紧凑, 因此在卫星通信和无线通信中得到了广泛的应用,同时受到了许多研究人员的关注和重视。在20世纪70年代,Wolff首次提出并设计了第一个微带双模滤波 器,此后人们便开始了对微带双模滤波器的研究,其在滤波器领域扮演着重要角色。
本文一种新型应用于WLAN/WiMAX的双模双通带滤波器的设计方案,方案是在对称T型开路支节加载双模谐振器的基础上,先对其奇偶模原理进行了分析,接着对双模谐振器的电场分布和电流分布进行分析,最后设计出了一个应用于WLAN和WiMAX频段的双通带滤波器,其中心频率分别为2.4 GHz和3.5 GHz,并对其进行了耦合原理分析和耦合间距对带宽的影响的分析。最后实测效果很好,在带外产生了3个传输零点,上阻带具有较好的带外抑制。最后的仿真和实验测量结果非常吻合,具有很好的一致性。
1 对称T 型开路支节加载分析
本文所提出的对称T 型开路支节加载的双模谐振器是由一个半波长阶跃阻抗谐振器和两个对称的T型开路枝节组成,具体结构如图1(a)所示。
由于该结构关于对称面AA′有对称的特性,可以利用经典的奇偶模分析法来对该谐振器的谐振频率进行分析。根据双模谐振器模型,这种结构具有两种谐振模式,即奇模谐振模式与偶模谐振模式。

以奇模电压源激励时,对称面是电壁,对称面AA′的电压为零,等效为短路状态,相应的等效电路如图1(b)所示。
以偶模电流源激励时,对称面是磁壁,对称面AA′处电流为零,等效为开路状态,相应的等效电路如图1(c)所示。
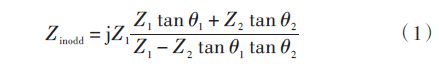
当忽略谐振器不连续性时,奇模激励时的输入阻抗Zinodd 可以表示为:

其谐振条件为Zinodd =∞。从公式(1)可以看出,奇模谐振频率只与θ1,θ2 ,Z1,Z2 有关,与中间对称T型开路支节无关。同理,当偶模激励时,可以得到偶模的谐振频率与中间T型开路支节有关,当中间对称T型开路支节的结构发生变化时,偶模 谐振频率会发生相应的变化,而对奇模的谐振频率没有影响。
图2 显示了该双模谐振器的奇模和偶模的电场分布图。

如图2(a)所示,奇模的电场分布主要分布在阶梯阻抗谐振器的左边和右边,而且是对称的。而在对称T型开路支节这部分没有场强分布,显然和支节加载部分无关。
同样,从图2(b)中可以看到,阶梯阻抗谐振器和对称T型支节都分布有电场,而且电场是关于对称面AA′对称的,这就是偶模的电场分布。因此,对称T型支节对奇模谐振频率不产生影响,只影响偶模谐振频率。
图3 显示了对称T 型支节加载谐振器的电流分布图。

如图3(a)所示,表面电流主要分布在阶梯谐振器的左边和右边,电流是从右边支节流向左边支节,而且对称T型支节对奇模是没有影响的,这就是奇模的电流分布特性。
图3(b)显示了偶模的电流分布,整个双模谐振器都有电流分布。从图中可以观察到,电流从两个T型支节流入阶梯阻抗谐振器,再流向两端的支节,而且关于对称面AA′对称。
2 滤波器设计实例
为了验证以上的理论分析,采用文中所讨论的双模谐振器设计了一个应用于WLAN/WiMAX的双模双通带滤波器。滤波器的设计指标为:第一个通带的 中心频率为2.4 GHz,应用于WLAN频段;第二通带的中心频率为3.5 GHz,应用于WiMAX频段;带内插入损耗小于1 dB,带内回波损耗都为-20 dB,在上阻带3.8~6.9 GHz内,抑制要大于20 dB.采用的介质板的介电常数为2.2,厚度为0.508 mm,损耗角正切tan δ =0.000 9,铜箔厚度为0.018 mm.
基于以上设计指标,首先根据给定的第一通带的中心频率确定半波长谐振器的尺寸,而后调节对称T型开路支节长度,大致达到第二通带的中心频率。通过建 模仿真,最终确定了谐振器的物理尺寸,得到滤波器的版图如图4所示,尺寸大小为14.03 mm×31.48 mm,对应的波导波长为0.15λg × 0.34λg,总的面积为0.051λ2g,其具体的物理尺寸如下:
W0 = 1.54 mm,Wt = 0.57 mm,Lt = 3.12 mm,S =0.99 mm,W1 = 0.8 mm,W2 = 2.46 mm,W3 = 0.72 mm,W4 =0.94 mm,L1 = 19.47 mm,L2 = 4.12 mm,L3 = 2.63 mm,L4 = 3.33 mm,L5 = 0.79 mm,L6 = 17.86 mm.

由图4 可知,源/负载与第一/二个双模谐振器采用的是抽头馈线耦合,两双模谐振器的两边支臂相互耦合。这样的结构有利于两个通带的调节和结构的紧凑。
双模谐振器级联的耦合原理如图5所示。图中的S 表示源,L 表示负载。

从图5中可以看出,源与第一个谐振器和第二个谐振器的奇模偶模都有耦合,负载也与第一个谐振器和第二个谐振器的奇模偶模都有耦合。第一个谐振器的奇 模与第二个谐振器的奇模耦合,构成第一个通带;第一个谐振器的偶模与第二个谐振器的偶模耦合,构成第二个通带,这样就形成了一个双模双通带的滤波器。
图6 显示了滤波器在不同间距S 的情况下带宽的特性。可以看到,耦合间距S 能有效地调节滤波器的带宽特性,当间距S 从0.6 mm增加到1.1 mm时,滤波器的两个带宽明显减小。因此可以调节S 参数来得到想要的带宽,而且滤波器的其它特性几乎不变。

图7为该双模滤波器的仿真结果,此结果达到了设计的要求。第一个通带的中心频率为2.45 GHz,第二个通带的中心频率为3.52 GHz,它们的带内的反射系数都小于-20 dB,而且在带外产生了三个零点TZ1,TZ2 , TZ3,其频率分别为1.98 GHz,2.93 GHz,3.935 GHz,其衰减分别为-54.3 dB,-40.7 dB,-58.1 dB.而且在上阻带3.78~-6.94 GHz内,其衰减达到-20 dB 以下,具有非常好的带外抑制能力。

图8为加工实物图,可以看到其尺寸比传统的双通带滤波器小很多,说明双模谐振器具有小型化的优点。

这里使用的测试仪器为Agilent 公司的E5071C 矢量网络分析仪,在常温条件下对制作的双模滤波器进行测试,实际测量结果与仿真结果非常吻合,如图9所示。

从实测结果来看,中心频率分别为2.44 GHz 和3.48 GHz,3 dB带宽分别为10.7%和6.9%,对应的插入损耗为0.76 dB 和1.13 dB,带内反射分别优于19.2 dB 和15.1 dB.带外产生了三个零点TZ1,TZ2,TZ3,其频率分别为1.96 GHz,2.94 GHz,3.91 GHz,其衰减分别为-53.8 dB,-43.9 dB,-45.6 dB.在上阻带3.75~7.33 GHz内,其衰减达到-20 dB 以下。由此可见,双模双通带滤波器的性能非常好。
3 结论
本文提出了一种新型应用于WLAN/WiMAX 的双模双通带滤波器的设计方案,方案是在对称T 型开路支节加载双模谐振器的基础上,先对其奇偶模原理进行了分析,接着对电场分布和电流分布分析,最后设计出了一个应用于WLAN 和WiMAX 频段的尺寸小、性能好的双模双通带滤波器。此双模滤波器的两个通带是独立可控的,可分别通过调节奇模偶模来实现。本方案所设计的滤波器在带外实现了3个传 输零点,实现了宽阻带抑制。并通过仿真、加工、测试,最后的实测结果与仿真结果一致性很好,完全达到了方案设计要求。这种插损低、尺寸小、高选择性的新型 双模结构,具有很大的潜在应用价值。
如何成为一名优秀的射频工程师,敬请关注: 射频工程师养成培训
上一篇:超宽带异面Vivaldi接收天线的设计与研究
下一篇:设计通用的软件无线电平台

