- 易迪拓培训,专注于微波、射频、天线设计工程师的培养
微波电调带通滤波器的研究
1、引言
电调滤波器是宽带微波接收机以及电子对抗系统中的关键部件之一, 其性能指标的优劣直接影响整机性能。传统的YIG调谐滤波器在某些需要快速(μs级)调谐的场合是不适用的。因而,以变容管为调谐元件的电调滤波电路得到 了日益广泛的应用。然而在窄带(<2%)调谐情况下,谐振元件尤其是变容管结电容的温度漂移严重影响电路性能,因此必须在电路原理以及结构上精心设 计并采取必要的补偿措施。本文介绍了作者在该领域研究工作中所涉及的三种最典型的电调滤波电路,给出了一种采用悬置带线加介质补偿设计的L波段电调滤波电 路的研制结果,并提供了该电路的CAD全波分析数据。
2、常用的电调滤波电路
2.1、终端耦合电调滤波电路[1]
如图1所示,该电路是将λg/2谐振器分为两段λg/4线,并在中间引入变容管调谐以实现通带移动。为弥补窄带情况下很大的通带插损而引入了一段λg/2 耦合线,耦合线的一端接负阻发生器以抵消谐振器损耗电阻。该电路设计方法简单,结构实现容易,但在微波频率低端体积太大,而且负阻补偿电路如设计不当会有 不必要的振荡产生,加之该电路存在二次寄生通带,因而限制了其使用范围仅为较高微波频段(一般6GHz以上)且带外抑制要求不高的场合。

图1 终端耦合电调滤波电路
2.2、微带环行谐振器构成的电调滤波电路
图2为一平均半径为R的微带环行谐振器,满足关系2πR=Nλg(N=0,1,2···)的频率将发生谐振。完整的以及于a点开缝后谐振环上电场分布图表明,开缝后环上的最低模已并非奇次模而是另一种新模式——半模。于缝隙处引入一变容管即可实现由(N+1/2)∫0往下至N∫0(∫0为 基频)的频率移动。为使谐振器体积最小同时也为了获得最大可能的通带移动范围,通常取N=1即3/2模为调谐模式。此种电路结构紧凑,便于集成至MIC和 MMIC中。然而,此结构具有偶次寄生模(最低为N=2),同时在窄带情形下馈入及输出缝隙很大,加上谐振环Q值较低导致通带插损非常大,尽管许多有效措 施诸如消除寄生模[2]、介质加载[3]等技术的采用使得该电路在性能上得到了一定的改善,但在需要窄带、宽移动范围电调滤波的场合仍未得到广泛应用。

图2 微带环行谐振器电场分布
2.3、梳状结构电调滤波器
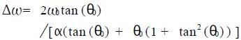
图3电路把由分布电感与集总电容组成的多个并联谐振器以磁耦合的方式连接起来达到滤波目的,并通过调整每个谐振器终端的可变电抗实现通带移动。理论推导可得出滤波器的绝对带宽Δω与中心频率的关系[4]为:

式中以θ0代替ω0之后令d(Δω)/dθ0=0可发现Δω关于θ0有一极大值点。故可设计各谐振器使之当电调滤波器工作在中心频率移动范围的中间值时满足d(Δω)/dθ0=0,这样即可实现滤波器中心频率倍频程范围内移动而其绝对通带带宽变化最小(这在宽移动范围时是至关重要的)。另外,通过内部导纳电平变换技术可使该结构电路对1%~40%带宽的滤波响应均能给出易于实现的物理尺寸。该结构传输线长度仅为λg/8(寄生通带远达4倍中心频率),即便在L波段或UHF波段也能给出较小的电路体积。此方案相比于其他方案,有诸多优点,因而在需要高性能、宽移动范围电调滤波电路的场合得到了非常广泛的应用,但其设计方法较前两种繁琐得多。

图3 梳状结构电调滤波器
3、研制结果
在 对各种电调滤波方案深入研究的基础上,我所成功地研制了专用电调滤波模块。根据工程需要,此模块BW3dB仅为115%,工作温度为-55~+85℃,这 对电路的温度及参数性能提出相当高的要求。为此,我们运用梳状电调滤波设计原理进行电路设计,并利用悬置带线结构的高Q及温度稳定性对电路进行具体实施。 考虑到变容管温度性能为影响电路温度稳定性及插损指标的主要因素,我们在谐振电路中引入一个负温补偿电抗网络对变容管进行串并处理,极大程度地改善了模块 温度性能,同时降低了电调滤波器对多个谐振器间变容管结电容一致性的要求,使得电路制作成本及调试难度大大降低。最终达到的主要技术指标如下:
·中心频率移动: 1338~ 1575MHz;
·调谐电压: 4~ 18V (DC) ;
·3dB 带宽: 17~ 20MHz;
·中心频率插损: F 10dB;
·阻带衰减(f 0±63MHz) : > 33dB (低端 40dB) ;
·工作温度: - 55~ + 85℃。
由 指标看出,该模块在调谐过程中绝对带宽基本恒定,并具有良好温度性能和较小的插入损耗(选用GaAs高Q变容管该指标可得到进一步改善)。该模块已通过各 项考核试验,具有很高可靠性等级。超突变结变容管的选用可使其移动范围达500MHz,目前我所可提供530~1800MHz内分段覆盖的系列化电调滤波 产品。
在以理论分析为基础进行设计的同时,我们还运用美国Ansoft公司Serenade710微波CAD软件对基于该理论的设计进行了全波分析与验证并得到了满意的结果。
图4为对电路的全波分析仿真结果,滤波响应仿真曲线与实测(图中未画实测曲线)的颇为接近。该CAD辅助工具对于简化电调滤波电路的设计与制作以及缩短开发周期无疑会有很大帮助。

图4 梳状电调滤波电路全波分析曲线
4、结束语
电调滤波电路的种类还有很多,本文仅介绍其中较为典型的三种,采用何种方案需依整机要求而定。目前,为适应整机小型、数字化发展需要,电调滤波电路也正朝体积小型化、控制数字化迈进。

