- 易迪拓培训,专注于微波、射频、天线设计工程师的培养
射频结环行器的设计流程与仿真
他主要取决于双Y结环行器的结构参数W,H,t,φ,ξ1,ξ2,铁氧体介电常数εf以及有效张量磁导率μeff。环行器结构参数及εf,通常事先已决定,所以y主要取决于铁氧体磁参数μeff的选龋
k/μ参数为张量磁导率非对角分量除以对角分量,他也是铁氧体的磁参数。
kR为贝塞尔函数的宗量,其中R是铁氧体的半径,k为波数
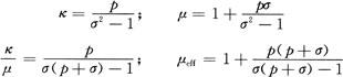
。而μeff,μ,k这些磁参数取决于铁氧体归一化磁矩和归一化内磁场。在饱和磁化且无耗情况下的磁参数k,μ,μeff可由下式获得:

式中,p和σ分别代表归一化饱和磁矩和归一化内场:
![]()
式中,Ms为铁氧体饱和磁化强度;Hi为外加偏置磁场的大小。
下面分析主要的设计流程:
首先确定kR,即选取半径R以及选取磁场工作点,确定μeff,k/μ,得到kR。再计算y,即已知kR,由第一环行条件计算得y。通常由y得到的 结阻抗Rj是无法与连接环行器的传输线。因为一般传输线特性阻抗为50 Ω,环行器需匹配才能接人,故必须添加匹配网络,或者改变结构参数,尤其是H或φ,ξ1,ξ2等,使系统匹配。
然后计算k/μ,即已知kR及y,由第二环行条件计算得k/μ。若计算结果符合之前由p和σ所确定的k/μ值,则设计成功;否则需重新确定kR,进行循环计算,直到符合条件为止,可由Matlab进行计算,通常误差在0.05以内是可以接受的。
从以上设计流程中可以看出,结环行器设计的关键是在于选取R,p和σ,因而需要给出一个合理的范围。例如对于低场器件,为了避免零场损耗,p通常选 在0.4~0.7之间,而外加磁场要使材料饱和,即σ=0,偏置磁场为0。可得k/μ=p;μeff=1-P2。至于R的选取,如果考虑器件小型化,则应 尽可能小;反之,若是高功率应用,则必须大一点。通常kR的值在0.8~1.8之间确定,而对于高场器件,必须使σ>1,p>1,同时也不能 太大,大致范围为1.5<σ<2,1 < p < 2。
3 仿真结果与分析
本文研究的频率范围为GSM接收端的925~960 MHz,属于微波频率段的低端,所以环行器所需的偏置磁场选用高于铁氧体谐振场。处于高场工作,器件尺寸才能尽可能小,同时也要求较高磁化强度的饱和磁化 材料和较高的偏置磁场。仿真选用饱和磁化强度为1 800高斯(Gauss),线宽△H为40奥(Oe),损耗角正切tan δ=O.005的铁氧体材料。
参照上述设计流程计算得到的参数为,R=4.0 mm,R0=1O mm,W=3.1 mm,φs=36,φ=22,H=2.2l mm,t=0.2 mm,k/μ=0.52,归一化导纳y=4.53,结阻抗Rj=14.6,环行条件误差为0.003。在计算机上使用HFSS电磁场仿真软件进行三维建模 仿真,设置好合适的边界条件和激励源。仿真分别对工作频率F以及内偏置磁场强度Hi进行了扫描,对性能参数作了对比分析。由于匹配部分使用的是二级非递增 式匹配,计算得到的结果在仿真中性能并不是最理想,见图2。这里使用HFSS自带的优化功能OPtimetrics模块,以环行器的结构参数为变量,创建 COST函数为目标函数进行优化,环行性能得到很大改善,见图3。另外通过对内磁场大小的比较,分析可得在相同外形尺寸的条件下,内磁场的大小对环行器的 性能影响非常大,尤其在接近谐振频率处曲线

