- 易迪拓培训,专注于微波、射频、天线设计工程师的培养
环形线圈车辆检测器的研究
1 引言
随着车辆的增多和交通的飞速发展,在道路交通管理与控制中对交通信息的需求越来越多。交通信息的采集是通过车辆检测器实现的,车辆检测器根据采用的不同技术主要分为线圈检测、视频检测、微波检测、红外线检测、雷达检测、激光检测等。环形线圈车辆检测器相对于其他检测器具有低成本、高可靠性、高检测精度、全天候工作的优点,是目前应用最广泛的车辆检测器。
本文介绍的车辆检测器具有独立检测、数据处理、数据通讯的功能,可以提供车流量、车速、车型分类、时间占有率、排队长度的综合交通信息,并且可应用在更广的范围。本文对检测器的原理和检测精度做了深人的分析,为检测器的检测参数设计提供了有效理论依据。
2 检测器主要功能
1)交通信息采集、处理功能:交通信息采集是检测器的基本功能,检测器通过检测线圈感应量的变化判断车辆的有无,然后CPU对数据进行计算后得出车流量、平均速度、时间占有率、平均车长、平均车间距等交通数据。检测器的灵敏度可人工设置。
2)数据存储功能:检测器可存储计算后得到的数据。如果通信中断,一旦恢复,可由通信端口上传历史数据到便携电脑或控制中心,保持数据完整。
3) 故障检测功能:检测器具备对线圈断路和短路故障的检测。在发现故障时,检测器能上传故障信息。所存储的信息能在检测器或与检测器相连的外部设备(该设备可检索并显示储存信息)上显示、查阅。以代码或文本形式记录下故障类型与细节;故障发生的时间与日期、故障清除的时间与日期可以通过维护工具和中心系统查询。
4) 通信功能:检测器标准配备2个RS-2犯通信接口(其中一个可设为RS-485通信接口),通信速率4800bps-19200bps通过串口,可对车辆检测器工作参数进行设置,可以实现GPRS,CDMA的通讯方式。
3 检测器基本工作原理
线圈车辆检测器与埋在道路中间的线圈连接,车辆经过线圈后使线圈电感量发生变化,检测器内部电路振荡频率随着线圈电感量的变化而变化,CPU通过计数脉冲数量判断电路振荡频率的变化从而判断车辆的有无,然后计算相关的交通参数。
检测器采用模块化设计,硬件系统主要由机架母板、电源模块、检测模块、处理模块组成,检测模块将地感线圈电感量的变化转化为开关量后,经机架母板传送给处理模块进行数据计算、处理,电源模块负责整机各模块供电和电源管理,检测器的硬件功能如图1所示。

图 1 车辆检测器硬件功能示意图
4 检测器检测精度计算
检测精度是检测器的关键性能指标,这里主要通过理论计算结合经验值的方法,计算和估计检测精度。通过估算,可以看出影响检测精度的因素及影响程度,对检测精度的性能参数设计有指导意义。
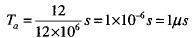
1)检测速度计算:检测速度范围即检测板所能正常检测的车辆速度范围。单片机时钟为12Mhz,则一个指令周期为:

设每个检测周期计数250个脉冲,频率约为l00kHz 数时间约为:

2.5ms即为计数时间粒度。根据经验,在适当的灵敏度下车辆经过线圈1/2-1/3处检测器可判断为有车,线圈大小为2mx 2m,一般车长约为4m,可算出车辆经过线圈检测器可判断为有车的长度范围为4m。
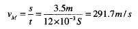
为保证能够正确检测到车辆通过,程序连续检测到三个2.5ms有车时,判断为车辆经过,程序判断时间总共约4.5ms,则车辆在线圈通过有效感觉范围的时间不能少于12ms,由此可以算出可检测车辆最高速度为:

上式表明,在291.7m/s的速度范围内,检测器都可以对车辆的存在做出相应的响应。
2) 检测速度误差:每路线圈检测计数时间约为2.5ms,达到计数值后单片机定时器记录时间值,然后进行判断等操作,这段处理程序大约300500行,按一行 C语言折合3行汇编指令算,最多1500条指令,指令周期为lus,时间需要1500x1us=1.5ms,可得出每路检测时间约为4ms,即最大时间误差为4ms。速度线圈对着的中心间距为4m,按检测速度160km/h计算,则通过两线圈最短时间为:

3) 流量精度:流量即为统计周期内通过线圈车辆的数量。前面描述可测速度范围为291.7m/s,所以速度对流量检测精度的影响可忽略。车辆的底盘高度直接影响车辆经过线圈所引起的电感量的变化,底盘高的引起的变化小,底盘低的引起的变化大,当底盘高出一定范围可能不能被检测到。目前轿车地盘高度在 150-200mm,中小客车的底盘高度一般在400mm左右,对于不同车型车辆通过的检测精度也不相同。另外,馈线长度的增加会造成馈线部分电感比例加大,相对于线圈电感量的变化比值就比较小,对检测精度有一定影响。
所以流量精度受车型、馈线长度等现场因素影响,可根据实际情况调整振荡频率和检测灵敏度以保证最高的流量计算精度。
4) 时间占有率精度:适当的灵敏度下车辆经过线圈1/21/3处检测器可判断为有车,在160km/h情况下,由式(5)得4m长度车辆通过单个线圈最短检测响应时间为90ms。
每辆车最大检测时间误差为4ms,据统计,平均每车道1分钟车流量在20-40辆车,统计周期10秒至60分,取周期为30分,流量每分40辆计算。则车道最大占有时间误差△tmax为:
13.56MHz NFC天线,13.56MHz RFID天线设计培训课程套装,让天线设计不再难
上一篇:基于RF芯片nRF401的无线数传模块设计
下一篇:轻量级RFID安全协议研究


