- 易迪拓培训,专注于微波、射频、天线设计工程师的培养
本振相位噪声对RFID询问范围的影响分析(二)
本文上一部分介绍了UHF RFID链路概念与典型的无线通信系统。
如果RFID系统只是发射UHF连续波信号,那么PN,pn电平将随时延发生很大的变化。在最坏的情况下,即ωΔt采用等式7中的[(2n - 1)π/2值,其中n是正整数,Tx泄漏信号的最大相位噪声可以近似表示为:

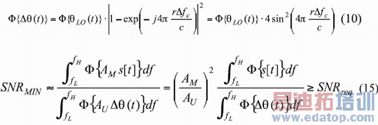
如果发射和接收使用相同的本振,那么接收信号的相位噪声就与本振相关,其关联程度取决于两个信号之间的时间差。如果时间差很短,那么相应效应将极大地缩简基带的相位噪声谱。在诸如RFID等雷达应用中,这种相位噪声减弱效应被称为范围关联12。根据参考文献12,偏移频率Δfc、来回时延Δt时的基带功率谱密度可以通过查阅第88页上的等式10得到。

图4所示例子就是本地振荡器本身的典型功率谱密度以及由于与来回延时1m关联的范围引起的相位噪声抑制效应。本振的典型功率谱密度是考虑了先进的UHF RFID本振性能后选择的。针对不同偏移频率的范围与相位噪声关联效应可以用等式10进行估计。例如,当偏移频率为10Hz时,相位噪声可降低130dB。相位噪声的下降正比于来回时延r的平方以及偏移频率Δfc的平方。由于Tx泄漏信号和本振信号之间的来回时延很短(小于1m),因此相位噪声效应可以被显著降低。
由于范围关联导致的相位噪声下降还取决于滤波器带宽。在160kb/s数据速率条件下测得的相位噪声减少值如参考文献6中所示。测得的值是41dB,几乎与本文报告的结果相同。如图5所示,Tx泄漏信号的相位噪声电平要高于热噪声,以至于RIR主要取决于Tx/Rx隔离度,并证实了作者的假设-Tx泄漏信号的相位噪声是决定RIR的主导因素。对于闭环锁相环(PLL)来说,相位噪声的功率谱密度将经过PLL传输函数的过滤,因此相位噪声效应会变得小许多。这样,针对开环压控振荡器(VCO)的结果就代表了最坏情况。

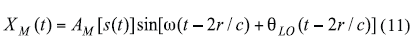
RIR等式可以从等式9推导得到。ASK情况下的后向散射信号XM(t)可以被表示为:

其中
AM = 后向散射信号的幅度,
s(t) = RFID标签的二进制数据序列0和1,
2r/c = RFID阅读机和RFID标签之间的来回时延。再次利用Friis电磁波传播公式可以得到AM:

在使用正交接收器时,接收信号(等式6)和(等式11)及本振信号(等式5)将被混频处理,输出经过低通滤波,最终形成的基带信号分别为:

一般来说Tx泄漏幅度AU要大于后向散射信号电平AM,并且可以忽略接收信号对相位噪声的影响。这样,最小可实现的信噪比可近似表示为等式15,该等式给出了RFID阅读机信噪比值的下限。在采用ASK时,将等式12代进等式15就可以得到RIR为:

与FIR不同的是,RIR取决于多种参数,如阅读机天线增益、环形器性能及本振相位噪声。图6表明RIR是Tx/Rx隔离度的一个函数。不良的环形器隔离性能不仅会降低RFID阅读机的灵敏度,而且会使接收器前端电路饱和。因此不良隔离性能被认为是RIR缩短的主要原因。换句话说,推荐使用大的隔离系数来增大RIR。提高隔离度的简易方法是Tx和Rx分别采用独立的天线。然而,这样做会使RFID阅读机的体积和成本增加。铁氧体材料的环形器或有源CMOS环形器也可以减轻这个问题,但阅读机成本的增加和环形器不良隔离性能是主要的障碍。

图6也显示了阅读机天线增益对询问距离的依赖性。在相同的EIRP下,RIR计算中使用了13dBi和4dBi的不同天线增益值。在天线增益为13dBi的情况下的RFID阅读机发射功率要低于4dBi增益时的功率。因为增加发射机功率也会导致Tx泄漏功率增加,因此在增加RIR方面13dBi的天线增益案例要比4dBi天线增益案例更加有效。作者认为这些结果有助于确定Tx/Rx隔离度和VCO相位噪声等UHF RFID阅读机规范。
在部署UHF RFID系统时,RFID阅读机的询问范围是一个关键设计参数。为了保持RFID系统的良好性能和稳定操作,首先应深入理解FIR和RIR,本文提供的询问范围等式应有所帮助。在本文中,它们的有效性通过FIR和RIR的数字结果显示了出来。作者还专门分析了决定RIR性能的Tx泄漏功率和本振相位噪声之间的关系。结果表明,RFID阅读机的发射功率是决定FIR的主要因素,而阅读机天线增益、本振相位噪声和Tx/Rx隔离度是决定RIR的主要因素。这些结论可以成为RFID系统设计和部署的有用参考。
见等式10和15。

作者:Dr. Byung-Jun Jang
Dr. Hyun-Goo Yoon


