- 易迪拓培训,专注于微波、射频、天线设计工程师的培养
本振相位噪声对RFID询问范围的影响分析(一)
无源UHF RFID系统中使用的本地振荡器的相位噪声被证实是影响该系统最终询问范围的关键限制因素。RFID阅读机的发射功率是决定FIR的主要因素,而阅读机天线增益、本振相位噪声和Tx/Rx隔离度是决定RIR的主要因素。本文将探讨本振相位噪声对RFID询问范围的影响。
射频识别(RFID)系统已经迅速成为通过使用紧凑型RFID标签存储和远程获取数据的可靠方式。特别是超高频(UHF)无源RFID的使用对许多应用来说极具吸引力,因为它能从合理的距离实现信号识别。对供应链管理以及正在计划在他们的供应链中强制使用UHF RFID的许多大型公司(如沃尔玛和Tesco)来说,这种技术是非常理想的。
UHF RFID系统的性能通常由系统的询问范围来表征,该范围被定义为RFID阅读机能够识别标签的最大距离。询问范围可分为两大类:前向链路询问范围(FIR)和反向链路询问范围(RIR)。在UHF RFID系统中,前向链路指的是从阅读机到标签的通信链路,而反向链路是指从标签到阅读机的通信链路。FIR被定义为标签接收到可实现启动和后向散射的功率的最大距离,而RIR是阅读机能够解码满足SNR要求的标签数据的最远距离。由于实际的询问距离取决于FIR和RIR中的最小值,因此在部署UHF RFID系统时应同时考虑这两个值。
图1将UHF RFID链路概念与典型的无线通信系统,如码分多址(CDMA)或全球移动通信系统(GSM)蜂窝系统,进行了比较。在典型的无线通信系统中,前向链路指的是从基站(BS)到移动台(MS)的通信链路,而反向链路则是从移动台到基站的通信链路。这两条链路上的噪声电平取决于热噪声功率PN:
PN,thermal = 4kTB (1)
其中
k = Boltzman常数,
T = 绝对温度(K)
B = 带宽
一般来说,无线通信系统的前向和反向链路是平衡的,两条链路的动态范围几乎是相同的。因此前向链路覆盖距离相当接近反向链路覆盖距离,虽然前向链路和反向链路的发射功率可能不同。
相反,无源UHF RFID系统的前向和反向通信链路是不平衡的(图1),这是因为RFID标签没有内部电源,必须从RFID阅读机发射的连续波(CW)信号中获取能量。因此FIR主要依赖于启动标签所必要的门限功率。另外一个主要区别是在阅读机环形器端的发射器(Tx)泄漏相位噪声对系统噪声的影响比阅读机接收器(Rx)的热噪声所造成的影响要大。因此RIR值很可能比FIR小,特别是对于设计较差的固定阅读机或手持式阅读机。

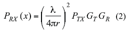
在对UHF RFID系统的这次研究中,假设RFID阅读机天线采用的极化方式与标签天线相匹配。如果r表示RFID标签和在自由空间操作的阅读机之间的工作距离,那么RFID标签接收到的功率PRx符合Friis电磁(EM)波传播公式:

其中
λ = 自由空间中的波长,
PT,x = 被发射器馈送进阅读机天线的信号功率,
GR = 阅读机天线的增益,
GT = 标签天线的增益,
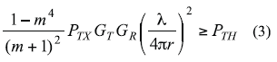
功率PRx的一部分被标签吸收用于产生直流电源,其它部分通过后向散射实现反向链路。为了确保标签能正确工作,吸收功率必须大于标签工作所需的最小功率PTH}。在标签采用幅移键控(ASK)调制的情况下,标签的时间平均吸收功率等于7:

其中
m = 调制深度
一般来说,PTH根据标签芯片设计和天线匹配条件来确定,然后FIR的Tforward就可以由等式4得到:

根据等式4计算得到的FIR值为8米,如图2所示。在等式4中,FIR正比于发射的有效同向幅射功率(EIRP) PTxG{T的平方根和天线增益GR,并且反比于标签功率门限电平PTH的平方根。根据经验,启动标签所需的射频门限功率电平范围从10?}W(-20dBm)到50?W(-13dBm)。调制深度m被选为0.1和0.9之间的平均值。

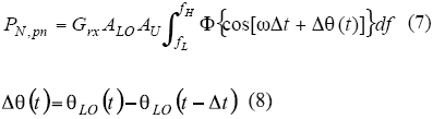
在反向链路中,来自标签的后向散射信号应足够强大,才能使阅读机的解调输出信号满足系统的信噪比(SNR)要求。为了计算阅读机解调输出信号的SNR,可以考虑使用图3所示的传统阅读机架构。该RFID阅读机由本地振荡器、发射器、接收器和带环形器的天线组成。环形器是一种单向三端口器件,信号从发射器端口传送到天线端口,或从天线端口传送到接收端口。在实际使用中,由于端口之间存在固有的泄漏现象,环形器不能完全隔离发射器和接收器。通常Tx/Rx隔离范围从20到50dB10。因此,Tx泄漏功率的相位噪声比热噪声强大得多,以至于RIR主要取决于Tx/Rx隔离度。而在典型的无线通信系统中,Tx泄漏通常不是大问题,因为它们采用了频分复用(FDD)和时分复用(TDD)等复用技术。

如图3所示,本地振荡器(以下简称本振)提供两个相同频率的信号:一个用于发射器,另一个用于接收器。在忽略幅度噪声的条件下本振可以被表示为:

其中
ALO = 本振信号的幅度,
ω = 角频率
θLO (t) = 本振信号的相位噪声.
RFID系统的功放(PA)用于提升本振信号的电平。放大后的信号通过环形器馈送给阅读机天线,然后辐射进自由空间。同时阅读机天线接收来自标签的后向散射信号。
从图3可以看出,环形器不能完全隔离发射器和接收器,因为它的端口之间存在固有的泄漏现象。TX泄漏信号延时等式是:

其中
AU = (2ηROPTx)0.5 = 信号幅度,
η = Tx/Rx隔离度,
RO = RFID阅读机接收器的输入阻抗,
Δt = Tx泄漏信号和本振信号之间的来回延时。
重要的是要认识到,等式5和6中的θLO (t)与相同本振源产生的相位噪声有关,但与时延无关。同时假设RFID阅读机接收器中使用的基带带通滤波器(BPF)具有陡峭的频率选择性。为了简化进一步的分析,BPF的脉冲响应可以近似用理想的矩形传输函数表征,其低端频率和高端截止频率分别用fL和fH表示。在使用正交接收器时,Tx泄漏信号和本振信号被混频,输出再经过低通滤波。Tx泄漏信号的最终相位噪声可以表示为:

其中
GYX = 考虑了射频电路总增益的接收器传输系数
φ{·} = 用于计算随机过程功率谱密度(PSD)的操作符,例如随机过程自相关函数的傅里叶变换。
本文下一部分将介绍RFID系统只是发射UHF连续波信号的情况。
作者:Dr. Byung-Jun Jang
Dr. Hyun-Goo Yoon


