- 易迪拓培训,专注于微波、射频、天线设计工程师的培养
智能化停车场管理体系研究
录入:edatop.com 点击:
0 引言
随着社会经济的发展,机动车拥有量迅速增长,居民乘小汽车出行的次数增多,许多城市“停车难、难停车” 的问题日渐显著,供需紧张、乱收费、违章停车、进出停车场不易、寻找停车场困难等现象普遍存在,影响了城市景观,更影响着与动态交通的和谐发展。不仅如此,目前大部分城市的停车设施大多量上不足,质上简陋。许多停车场内的停车标志、停车泊位线、导向箭头、减速垫、车辆诱导标志等停车管理设施严重短缺。自动收费设备缺乏,乱收费现象严重;泊位引导系统不完善,驾驶人停车取车困难;停车诱导信息缺乏,驾驶人寻找可利用的停车泊位比较困难。部分停车场甚至只管停车收费,而根本不管车辆停放期间的安全,一旦丢失,把责任推卸得一干二净。这都在一定程度上导致了车主放弃停车场,而在路旁、单位门前等空地乱停乱放,违章停车现象严重,停车场利用率较低。
要缓解或解决停车难题,首先需要在停车场法规规章的约束和保障下,根据城市经济、人口、面积、道路状况、功能分区、车辆拥有量等因素进行系统的、科学的停车场规划;其次要根据停车场规划、车流运行特性和道路网布局,进行路外停车场和路内停车场的配置与建设;在停车规划与配置建设完成之后,需要进行合理完善的停车场管理。而经国内外实践表明单纯依靠停车场的供应无法满足日益增长的停车需求,加上目前我国城市停车泊位“绝对不足”与“相对过剩” 的矛盾现象普遍存在,停车场的智能化科学管理就显得尤为重要。
据北京工业大学交通工程实验室在北京西单地区的有关调查结果显示见图1,假如设置了停车诱导系统(Parking Guidance Information System,PGIS),92% 的被访者表示会利用PGIS。这就说明如果PGIS设置的科学并且合理,是很有可能会收到明显效果的,从而为设置PGIS提供了可能性和可行性。而据新华信咨询公司在停车费对消费者汽车生活的影响调查中显示,71.9%的有车族认为目前停车场只管收费缺乏管理,有31.7%的有车族认为停车管理员乱收费,52.1%的有车族认为停车秩序混乱,这些为进行智能化停车管理体系研究提供了现实基础。
进行停车场智能化管理的意义在于:规范停车秩序,与动态交通和谐发展;避免乱收费现象,提高停车收费的可信度;提高停车管理人员的工作效率,减轻工作人员的劳动强度;扩充停车信息的可利用形式以及范围,提高停车泊位利用率;提高找寻停车位的便利性,减轻交通污染;保障车辆安全出入停车场以及停车期间的安全,减少损失;停车泊位引导系统的采用,减少了车主进入停车场后寻找停车位的时间。
目前国内外大多是针对某一方面的研究,例如停车诱导系统,停车收费系统等,取得了良好的效果,为智能化停车场管理体系的研究提供了理论与实践基础。
早在1971年,在德国的亚琛市就建立了停车诱导系统。这也被认为是世界上最早的停车诱导系统。该系统对市内的12处停车场在主要的交叉路口设置了光电显示的停车场诱导标志,截至1980年控制对象增加到了40处,诱导标志由远距离控制,促进了现有停车场的有效利用。日本于1973年在柏市建立了日本最早的停车诱导系统。所提供的信息以停车场的使用状况、车位数以及停车场的位置等为主。日本的停车诱导信息发布系统集成在日本警察厅开展的UTMS(Universal Traffic Management System)项目中,通过UTMS的交通管理综合集成系统发布停车诱导信息。日本采用区域、主要路口、停车场内三级引导电子显示牌,显示停车场在区域中的位置,停车场的行车方向和是否有空车位的信息。大约同一时期在法国、英国、瑞士等国也相继建立了类似的系统。
北京于2001年起先后在王府井、北京站以及西单等地区建立了停车诱导系统。上海于2002年起在黄浦区建立了“停车诱导系统示范” 工程,整个工程共有36处、64块停车诱导发布牌,覆盖了整个黄浦区中心区域,包括39个对外开放停车库的5900多个车位,对停车难的解决起到了一定的辅助作用。近年来,广州、沈阳、太原、青岛等城市相继建立了停车诱导系统,取得了一定的效果。
2 目前研究的不足之处
2.1 单一模块的研究,缺乏系统化
目前,停车场的智能化管理体系大多是基于单一模块的,停车收费系统、泊位引导系统、停车信息诱导系统等在理论研究和实践应用中大都是孤立的,缺乏有效的系统集成,虽然起到了一定程度的缓解停车难的作用,但其效能没有得到充分的利用。例如停车者利用方便的停车信息找到了停车位,但进入停车场泊车困难、车辆停车期问的安全性不高、停车交费置信度不高等因素制约了停车信息的收益。
2.2 采集数据的兼容性差
如上所述,智能化停车场管理体系缺乏系统化,对于单一模块,需要信息的采集方式有多种,管理和研究开发机构往往从本模块的最小成本考虑,对适应系统未来发展需要的采集信息的兼容性重视程度不够。如停车信息诱导系统的信息采集可以用环形线圈技术、超声波技术、图像识别技术等,但从成本最小化、精确度高的角度考虑,环形线圈是最佳选择,但环形线圈所采集到的信息对于不停车收费系统来说,又具有一定的局限性。往往需要附加的信息采集系统或换取新的信息采集系统,造成资源的浪费,成本的提高。
2.3 车主与停车车辆的关联没有保障
对于目前的大部分系统来说,车辆进入停车场停放后,车主信息与停车车辆往往失去了关联,这对于车辆停放期间的安全是极为不利的,如盗取他人的车辆等。停车专用条形码信息和用户密码设置相结合的方式保证了车主身份与停车车辆的关系确认。
本文提出的智能化停车场管理体系研究方案能够有效地克服以上不足,是切实可行的。单个停车场管理中心通过环形线圈技术、RFID技术和通讯技术实现停放车辆信息的采集以及车辆与车主的关联,从而实现自动收费及确保车辆停放期间的安全,并向区域停车场及时更新本停车场的停车信息,区域管理中心把各个停车场的停车信息归类整理后通过多种形式向公众发布。
3 智能化停车场管理体系相关技术
3.1 信息采集技术
3.1.1 车型识别技术
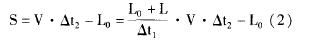
车主在办理停车专用条形码时,已将车型信息输入到条形码中,但是为防止大型车利用小型车的条形码,以小型车的费用缴费这种现象的发生,需要进行车型的识别,以保证实际停放车辆的类型与条形码中车辆类型信息的一致性。通过两个环形线圈检测车长的方法来进行车辆的简易识别,见图2。设车长s>( L。+L),当一辆车车头驶入线圈L1,时,此路检测通道产生一个高电平信号,单片机或微型计算机检测到后,即启动计时器开始计时。当车头进入L2线圈时,线圈L2也检测输出一个高电平信号,单片机或微型计算机检测到后,启动计时器开始计时。设车辆从L1,到L2。所需时间为△t1,,根据这个时间间隔以两线圈的间距(L。+L)可以计算出这辆车的行驶速度V,公式为:
确定车辆类型时,首先以车种为基础,找出各种主要车型的特征车长,然后以这些特征车长确定车型分类档次。按此原理将车型分为以下三类:小型车2.5~4m,中型车4~6m,大型车6~8m,供自动收费系统采用。
3.1.2 无线射频识别技术
无线射频识别技术RFID (Radio Frequency Identification),是非接触式条形码自动识别技术的一种,用于识别贴在汽车玻璃镜上的停车专用条形码(bar code)信息,从而实现自动收费的信息采集。
RFID可以完成对标签内容的自动识读。传统的条形码技术是利用光电效应,利用条码阅读器将光信号转换成电信号,进而读出条形码所“储存” 的信息,常被称为“近视眼”,它只有在足够靠近条形码识别器的时候,才可以被“认” 出来。而RFID标签则不同,它可以不断地主动或者被动地发射无线电波,只要处于RFID阅读器的接收范围之内,就可以被“感应”并且正确地识别出来。阅读器的收发距离可长可短,根据它本身的输出功率和使用频率的不同,从几厘米到几十米不等。
此外,RFID还具有使用寿命长、安全性高、对环境要求低等优点。RFID标签的寿命最高可以达到10年以上,其拥有条形码所不具备的防水、防磁、耐高温等性能;在遇到雪、雾、冰、各种污迹等恶劣的工作环境下,传统条形码的光学识别技术将会失效。而RFID依然可以正常地工作。据国外有关研究表明,RFID技术的准确率可达到99.7% 。
3.1.3 停车专用移动电话
停车期间车辆的安全问题是困扰停车场发展的难题,采用RFID技术提高了停车收费系统的效率,但却没有提高停车安全性。为此,我们可以结合移动电话技术,当车辆在进出停车场时,车主通过专用的移动电话把预先设定好的停车条形码号码以及对应的密码通过短信的方式告知停车场管理中心计算机,与RFID得到的条形码信息一致,方能停车、交纳停车费用以及离开停车场,否则,停车场的自动门关闭,这样就实现了车主身份与停车车辆的关系确认,有效地保障了车辆的安全。
3.2 Oracle数据库技术
Oracle数据库管理系统是20世纪70年代最早的关系数据库系统。它具有完整的数据管理功能,包括存储大量数据(可达到8TB)、定义和操作数据、并发控制、安全性控制、完整性控制、故障恢复、与高级语言接口的通用性等。此系统使用PL/SQL语言执行各种操作,具有可开放性、可移植性、灵活性等特点,在Oracle上所开发的应用可移植到任何操作系统,只需很少修改或不需要修改并可连续24小时工作。故本系统宜采用Oracle数据库来存储相关停车信息。
3.3 触摸屏显示技术
停车场的门除进出车辆外是关闭的,当车主存完车后以及取车时,在停车场门旁的连接管理中心计算机的触摸屏上输入停车泊位号和停车条形码密码,如果和系统存储的信息一致,停车门打开,车主离开或取车,否则,通过报警电话与管理中心协商解决。
4 智能化停车场管理体系结构
4.1 系统总体机构及工作原理
系统总体结构见图3,为分层管理和集中管理相结合,即区域内单个停车场的管理以及区域内所有停车场的管理相结合。其中包含停车收费系统、泊位引导系统、停车监控系统等,而信息采集系统、停车收费系统、管理中心、发布系统则是停车信息诱导系统的总体架构。
当区域内车辆根据停车信息选择停车场i,在到达停车场i时,通过信息采集系统实现与停车场i管理中心计算机的连接,管理中心i一方面自动记录车辆信息、停车泊位信息以及停车时刻信息,并启动泊位引导系统;另一方面向区域管理中心i实时更新当前停车场的停车信息。车辆停放后,停车监控系统实时监控车辆的动态,保障车辆停放期间的安全。车主取车驶离停车场时,在出口同样通过信息采集系统实现与管理中心的连接,此时,管理中心i自动记录停车离开时刻、自动计算停车费用并从车主账户中自动扣除,同时及时向区域管理中心i更新停车信息。车主遇到麻烦或需要帮助可以通过报警系统或移动电话向管理中心求救。区域管理中心通过信息发布系统向公众及时发布停车信息。
当车辆在距停车场i一定距离(150~200m)时,车主将预先设定好的停车专用条形码号码和密码组合用专用的移动电话通过短信发送到停车场管理中心计算机;如发觉发送错误,可以重新发送,停车场i管理中心以最后收到的信息为准。车辆在引道上继续行进过程中,通过埋在地面下的环形线圈检测车辆类型。在距离停车场门更近时,通过RFID技术识别贴在汽车玻璃镜上的停车专用条形码,如果与用户事先发送到管理中心的条形码一致、检测车辆类型与条形码中车辆类型信息一致并且密码正确,分配停车位,车库门打开,中心计算机自动记录停车条形码、泊位号、停车时刻、车辆类型等信息,同时启动泊位引导系统并向区域管理中心及时更新停车信息。否则,通过扩音器或可变信息板提示用户重新输人条形码号码和密码,如果还不一致通过报警电话和管理中心联系。
车主要进人停车场取车时,在门口的触摸屏显示器上输人停车泊位号和条形码密码,一致的话车门打开,并启动泊位引导系统,否则重新输人或与管理中心联系。
车主要驾驶车辆离开时,车主发送停车专用条形码号码和密码,并通过RFID技术识别条形码,若信息一致,中心计算机记录车辆离开时刻,计算停车时间以及停车费用,通过滚动显示屏告知车主,并且向区域管理中心更新停车信息;如不一致,提示重新输人或通过报警电话与管理中心联系。
当系统启用泊位引导系统后,滚动显示屏显示停车场内泊位路线图,分配到的停车泊位以及最短行车路线以闪光的形式显示,同时泊位处上方的闪光警告灯开始工作,驾驶人根据停车场内的指示标志和标线,以及闪光警告灯的引导信息,顺利到达停车位,泊位处的监控系统监视到车辆到达或离开时,泊位引导系统自动关闭。
4.3 停车信息诱导子系统
利用停车场i管理中心停车收费系统采集到的停车信息作为停车信息诱导系统的信息采集系统,区域管理中心将收到的各停车场以及区域内咪表停车位的停车信息归类整理,通过广播、互联网、公共电话、移动电话服务或诱导显示屏及时向公众发布停车信息,但形象直观、效率相对较高的信息发布形式是停车诱导显示屏,常见的停车诱导显示屏为三级诱导的思路。
一级诱导显示屏(大屏):设置在区域主要交通干线上,发布多个停车场(库)的名称、位置、实际车位状态的显示装置,见图4~a。
二级诱导显示屏(中屏):设置在停车场(库)周边区域的街道两旁,发布停车场(库)的名称、行驶路线、实际车位状态信息的显示装置, 见图4~b。
三级诱导显示屏(小屏):设置在停车场(库)
人口附近,发布单个停车场(库)的名称、实际车位状态以及其他规定信息的显示装置,见图4~c。
4.4 信息传输系统
通信传输的基本任务是保证“信息流”在特定的传媒中畅通,做到快速、及时准确。系统的信息传输包含三个部分:采集的基本信息到停车场i管理中心的传输;停车场i管理中心向区域管理中心的传输;区域管理中心向信息发布系统的传输。而信息传送根据传送方式的不同可分为有线和无线两种。有线传送可以通过专用双绞线同轴电缆、光纤等,也可以通过电话线、有线电视传输线等。在选择时要考虑到传输距离和成本、空间限制、环境等。无线传送是通过微波、红外线(专用信号传送)或中长波(普通广播信号)传送信息。
5 结语
停车问题是一个复杂的社会问题,停车难题的解决需要公众的参与与积极配合,停车者、停车场经营者以及停车场管理者的通力合作才能达到和谐交通、和谐发展的良好局面,而智能化的管理为这种良好停车秩序的形成提供了有效途径。但是,我国目前停车场的建设与投资大都是政府投资,往往是杯水车薪,因此采取优惠政策,鼓励市民积极参与停车场的投资与建设,采用智能化的停车场管理技术,逐渐解决停车难题,有很强的现实意义。
(中国人民公安大学研究生部,中国人民公安大学交通管理工程系,周嗣恩 ,韩凤春)
随着社会经济的发展,机动车拥有量迅速增长,居民乘小汽车出行的次数增多,许多城市“停车难、难停车” 的问题日渐显著,供需紧张、乱收费、违章停车、进出停车场不易、寻找停车场困难等现象普遍存在,影响了城市景观,更影响着与动态交通的和谐发展。不仅如此,目前大部分城市的停车设施大多量上不足,质上简陋。许多停车场内的停车标志、停车泊位线、导向箭头、减速垫、车辆诱导标志等停车管理设施严重短缺。自动收费设备缺乏,乱收费现象严重;泊位引导系统不完善,驾驶人停车取车困难;停车诱导信息缺乏,驾驶人寻找可利用的停车泊位比较困难。部分停车场甚至只管停车收费,而根本不管车辆停放期间的安全,一旦丢失,把责任推卸得一干二净。这都在一定程度上导致了车主放弃停车场,而在路旁、单位门前等空地乱停乱放,违章停车现象严重,停车场利用率较低。
要缓解或解决停车难题,首先需要在停车场法规规章的约束和保障下,根据城市经济、人口、面积、道路状况、功能分区、车辆拥有量等因素进行系统的、科学的停车场规划;其次要根据停车场规划、车流运行特性和道路网布局,进行路外停车场和路内停车场的配置与建设;在停车规划与配置建设完成之后,需要进行合理完善的停车场管理。而经国内外实践表明单纯依靠停车场的供应无法满足日益增长的停车需求,加上目前我国城市停车泊位“绝对不足”与“相对过剩” 的矛盾现象普遍存在,停车场的智能化科学管理就显得尤为重要。
据北京工业大学交通工程实验室在北京西单地区的有关调查结果显示见图1,假如设置了停车诱导系统(Parking Guidance Information System,PGIS),92% 的被访者表示会利用PGIS。这就说明如果PGIS设置的科学并且合理,是很有可能会收到明显效果的,从而为设置PGIS提供了可能性和可行性。而据新华信咨询公司在停车费对消费者汽车生活的影响调查中显示,71.9%的有车族认为目前停车场只管收费缺乏管理,有31.7%的有车族认为停车管理员乱收费,52.1%的有车族认为停车秩序混乱,这些为进行智能化停车管理体系研究提供了现实基础。
进行停车场智能化管理的意义在于:规范停车秩序,与动态交通和谐发展;避免乱收费现象,提高停车收费的可信度;提高停车管理人员的工作效率,减轻工作人员的劳动强度;扩充停车信息的可利用形式以及范围,提高停车泊位利用率;提高找寻停车位的便利性,减轻交通污染;保障车辆安全出入停车场以及停车期间的安全,减少损失;停车泊位引导系统的采用,减少了车主进入停车场后寻找停车位的时间。

图1 使用PGIS的意向
目前国内外大多是针对某一方面的研究,例如停车诱导系统,停车收费系统等,取得了良好的效果,为智能化停车场管理体系的研究提供了理论与实践基础。
早在1971年,在德国的亚琛市就建立了停车诱导系统。这也被认为是世界上最早的停车诱导系统。该系统对市内的12处停车场在主要的交叉路口设置了光电显示的停车场诱导标志,截至1980年控制对象增加到了40处,诱导标志由远距离控制,促进了现有停车场的有效利用。日本于1973年在柏市建立了日本最早的停车诱导系统。所提供的信息以停车场的使用状况、车位数以及停车场的位置等为主。日本的停车诱导信息发布系统集成在日本警察厅开展的UTMS(Universal Traffic Management System)项目中,通过UTMS的交通管理综合集成系统发布停车诱导信息。日本采用区域、主要路口、停车场内三级引导电子显示牌,显示停车场在区域中的位置,停车场的行车方向和是否有空车位的信息。大约同一时期在法国、英国、瑞士等国也相继建立了类似的系统。
北京于2001年起先后在王府井、北京站以及西单等地区建立了停车诱导系统。上海于2002年起在黄浦区建立了“停车诱导系统示范” 工程,整个工程共有36处、64块停车诱导发布牌,覆盖了整个黄浦区中心区域,包括39个对外开放停车库的5900多个车位,对停车难的解决起到了一定的辅助作用。近年来,广州、沈阳、太原、青岛等城市相继建立了停车诱导系统,取得了一定的效果。
2 目前研究的不足之处
2.1 单一模块的研究,缺乏系统化
目前,停车场的智能化管理体系大多是基于单一模块的,停车收费系统、泊位引导系统、停车信息诱导系统等在理论研究和实践应用中大都是孤立的,缺乏有效的系统集成,虽然起到了一定程度的缓解停车难的作用,但其效能没有得到充分的利用。例如停车者利用方便的停车信息找到了停车位,但进入停车场泊车困难、车辆停车期问的安全性不高、停车交费置信度不高等因素制约了停车信息的收益。
2.2 采集数据的兼容性差
如上所述,智能化停车场管理体系缺乏系统化,对于单一模块,需要信息的采集方式有多种,管理和研究开发机构往往从本模块的最小成本考虑,对适应系统未来发展需要的采集信息的兼容性重视程度不够。如停车信息诱导系统的信息采集可以用环形线圈技术、超声波技术、图像识别技术等,但从成本最小化、精确度高的角度考虑,环形线圈是最佳选择,但环形线圈所采集到的信息对于不停车收费系统来说,又具有一定的局限性。往往需要附加的信息采集系统或换取新的信息采集系统,造成资源的浪费,成本的提高。
2.3 车主与停车车辆的关联没有保障
对于目前的大部分系统来说,车辆进入停车场停放后,车主信息与停车车辆往往失去了关联,这对于车辆停放期间的安全是极为不利的,如盗取他人的车辆等。停车专用条形码信息和用户密码设置相结合的方式保证了车主身份与停车车辆的关系确认。
本文提出的智能化停车场管理体系研究方案能够有效地克服以上不足,是切实可行的。单个停车场管理中心通过环形线圈技术、RFID技术和通讯技术实现停放车辆信息的采集以及车辆与车主的关联,从而实现自动收费及确保车辆停放期间的安全,并向区域停车场及时更新本停车场的停车信息,区域管理中心把各个停车场的停车信息归类整理后通过多种形式向公众发布。
3 智能化停车场管理体系相关技术
3.1 信息采集技术
3.1.1 车型识别技术
车主在办理停车专用条形码时,已将车型信息输入到条形码中,但是为防止大型车利用小型车的条形码,以小型车的费用缴费这种现象的发生,需要进行车型的识别,以保证实际停放车辆的类型与条形码中车辆类型信息的一致性。通过两个环形线圈检测车长的方法来进行车辆的简易识别,见图2。设车长s>( L。+L),当一辆车车头驶入线圈L1,时,此路检测通道产生一个高电平信号,单片机或微型计算机检测到后,即启动计时器开始计时。当车头进入L2线圈时,线圈L2也检测输出一个高电平信号,单片机或微型计算机检测到后,启动计时器开始计时。设车辆从L1,到L2。所需时间为△t1,,根据这个时间间隔以两线圈的间距(L。+L)可以计算出这辆车的行驶速度V,公式为:

图2 环形线圈布置图

确定车辆类型时,首先以车种为基础,找出各种主要车型的特征车长,然后以这些特征车长确定车型分类档次。按此原理将车型分为以下三类:小型车2.5~4m,中型车4~6m,大型车6~8m,供自动收费系统采用。
3.1.2 无线射频识别技术
无线射频识别技术RFID (Radio Frequency Identification),是非接触式条形码自动识别技术的一种,用于识别贴在汽车玻璃镜上的停车专用条形码(bar code)信息,从而实现自动收费的信息采集。
RFID可以完成对标签内容的自动识读。传统的条形码技术是利用光电效应,利用条码阅读器将光信号转换成电信号,进而读出条形码所“储存” 的信息,常被称为“近视眼”,它只有在足够靠近条形码识别器的时候,才可以被“认” 出来。而RFID标签则不同,它可以不断地主动或者被动地发射无线电波,只要处于RFID阅读器的接收范围之内,就可以被“感应”并且正确地识别出来。阅读器的收发距离可长可短,根据它本身的输出功率和使用频率的不同,从几厘米到几十米不等。
此外,RFID还具有使用寿命长、安全性高、对环境要求低等优点。RFID标签的寿命最高可以达到10年以上,其拥有条形码所不具备的防水、防磁、耐高温等性能;在遇到雪、雾、冰、各种污迹等恶劣的工作环境下,传统条形码的光学识别技术将会失效。而RFID依然可以正常地工作。据国外有关研究表明,RFID技术的准确率可达到99.7% 。
3.1.3 停车专用移动电话
停车期间车辆的安全问题是困扰停车场发展的难题,采用RFID技术提高了停车收费系统的效率,但却没有提高停车安全性。为此,我们可以结合移动电话技术,当车辆在进出停车场时,车主通过专用的移动电话把预先设定好的停车条形码号码以及对应的密码通过短信的方式告知停车场管理中心计算机,与RFID得到的条形码信息一致,方能停车、交纳停车费用以及离开停车场,否则,停车场的自动门关闭,这样就实现了车主身份与停车车辆的关系确认,有效地保障了车辆的安全。
3.2 Oracle数据库技术
Oracle数据库管理系统是20世纪70年代最早的关系数据库系统。它具有完整的数据管理功能,包括存储大量数据(可达到8TB)、定义和操作数据、并发控制、安全性控制、完整性控制、故障恢复、与高级语言接口的通用性等。此系统使用PL/SQL语言执行各种操作,具有可开放性、可移植性、灵活性等特点,在Oracle上所开发的应用可移植到任何操作系统,只需很少修改或不需要修改并可连续24小时工作。故本系统宜采用Oracle数据库来存储相关停车信息。
3.3 触摸屏显示技术
停车场的门除进出车辆外是关闭的,当车主存完车后以及取车时,在停车场门旁的连接管理中心计算机的触摸屏上输入停车泊位号和停车条形码密码,如果和系统存储的信息一致,停车门打开,车主离开或取车,否则,通过报警电话与管理中心协商解决。
4 智能化停车场管理体系结构
4.1 系统总体机构及工作原理
系统总体结构见图3,为分层管理和集中管理相结合,即区域内单个停车场的管理以及区域内所有停车场的管理相结合。其中包含停车收费系统、泊位引导系统、停车监控系统等,而信息采集系统、停车收费系统、管理中心、发布系统则是停车信息诱导系统的总体架构。
当区域内车辆根据停车信息选择停车场i,在到达停车场i时,通过信息采集系统实现与停车场i管理中心计算机的连接,管理中心i一方面自动记录车辆信息、停车泊位信息以及停车时刻信息,并启动泊位引导系统;另一方面向区域管理中心i实时更新当前停车场的停车信息。车辆停放后,停车监控系统实时监控车辆的动态,保障车辆停放期间的安全。车主取车驶离停车场时,在出口同样通过信息采集系统实现与管理中心的连接,此时,管理中心i自动记录停车离开时刻、自动计算停车费用并从车主账户中自动扣除,同时及时向区域管理中心i更新停车信息。车主遇到麻烦或需要帮助可以通过报警系统或移动电话向管理中心求救。区域管理中心通过信息发布系统向公众及时发布停车信息。

图3 系统总体结构
当车辆在距停车场i一定距离(150~200m)时,车主将预先设定好的停车专用条形码号码和密码组合用专用的移动电话通过短信发送到停车场管理中心计算机;如发觉发送错误,可以重新发送,停车场i管理中心以最后收到的信息为准。车辆在引道上继续行进过程中,通过埋在地面下的环形线圈检测车辆类型。在距离停车场门更近时,通过RFID技术识别贴在汽车玻璃镜上的停车专用条形码,如果与用户事先发送到管理中心的条形码一致、检测车辆类型与条形码中车辆类型信息一致并且密码正确,分配停车位,车库门打开,中心计算机自动记录停车条形码、泊位号、停车时刻、车辆类型等信息,同时启动泊位引导系统并向区域管理中心及时更新停车信息。否则,通过扩音器或可变信息板提示用户重新输人条形码号码和密码,如果还不一致通过报警电话和管理中心联系。
车主要进人停车场取车时,在门口的触摸屏显示器上输人停车泊位号和条形码密码,一致的话车门打开,并启动泊位引导系统,否则重新输人或与管理中心联系。
车主要驾驶车辆离开时,车主发送停车专用条形码号码和密码,并通过RFID技术识别条形码,若信息一致,中心计算机记录车辆离开时刻,计算停车时间以及停车费用,通过滚动显示屏告知车主,并且向区域管理中心更新停车信息;如不一致,提示重新输人或通过报警电话与管理中心联系。
当系统启用泊位引导系统后,滚动显示屏显示停车场内泊位路线图,分配到的停车泊位以及最短行车路线以闪光的形式显示,同时泊位处上方的闪光警告灯开始工作,驾驶人根据停车场内的指示标志和标线,以及闪光警告灯的引导信息,顺利到达停车位,泊位处的监控系统监视到车辆到达或离开时,泊位引导系统自动关闭。
4.3 停车信息诱导子系统
利用停车场i管理中心停车收费系统采集到的停车信息作为停车信息诱导系统的信息采集系统,区域管理中心将收到的各停车场以及区域内咪表停车位的停车信息归类整理,通过广播、互联网、公共电话、移动电话服务或诱导显示屏及时向公众发布停车信息,但形象直观、效率相对较高的信息发布形式是停车诱导显示屏,常见的停车诱导显示屏为三级诱导的思路。
一级诱导显示屏(大屏):设置在区域主要交通干线上,发布多个停车场(库)的名称、位置、实际车位状态的显示装置,见图4~a。
二级诱导显示屏(中屏):设置在停车场(库)周边区域的街道两旁,发布停车场(库)的名称、行驶路线、实际车位状态信息的显示装置, 见图4~b。
三级诱导显示屏(小屏):设置在停车场(库)
人口附近,发布单个停车场(库)的名称、实际车位状态以及其他规定信息的显示装置,见图4~c。

图4 LED诱导显示屏
4.4 信息传输系统
通信传输的基本任务是保证“信息流”在特定的传媒中畅通,做到快速、及时准确。系统的信息传输包含三个部分:采集的基本信息到停车场i管理中心的传输;停车场i管理中心向区域管理中心的传输;区域管理中心向信息发布系统的传输。而信息传送根据传送方式的不同可分为有线和无线两种。有线传送可以通过专用双绞线同轴电缆、光纤等,也可以通过电话线、有线电视传输线等。在选择时要考虑到传输距离和成本、空间限制、环境等。无线传送是通过微波、红外线(专用信号传送)或中长波(普通广播信号)传送信息。
5 结语
停车问题是一个复杂的社会问题,停车难题的解决需要公众的参与与积极配合,停车者、停车场经营者以及停车场管理者的通力合作才能达到和谐交通、和谐发展的良好局面,而智能化的管理为这种良好停车秩序的形成提供了有效途径。但是,我国目前停车场的建设与投资大都是政府投资,往往是杯水车薪,因此采取优惠政策,鼓励市民积极参与停车场的投资与建设,采用智能化的停车场管理技术,逐渐解决停车难题,有很强的现实意义。
(中国人民公安大学研究生部,中国人民公安大学交通管理工程系,周嗣恩 ,韩凤春)


