- 易迪拓培训,专注于微波、射频、天线设计工程师的培养
新型UHF RFID读写模块设计
0 引言
射频识别技术(Radio Frequency Identification,RFID)是指通过检测目标物体对射频电磁场的扰动而获得其相关特征信息的一种探测技术.经过多年的发展,13.56 MHz以下的技术已经相对成熟,而处于840~960 MHz的超高频(Ultra High Frequency,UHF)RFID技术以读取距离较远.标签成本较低.读取速率快等诸多优势而被广泛关注.
1 超高频RFID系统
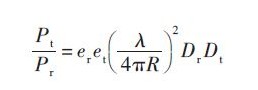
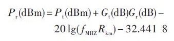
一个典型的超高频RFID 系统通常由读写器.天线和标签3部分构成,如图1所示.其工作原理如下:读写器首先通过天线向标签发射出电磁波,标签从电磁波中提取工作所需要的能量,电磁波遇到标签等目标后并发生后向散射一部分电磁波到阅读器,阅读器接收解调后向散射电磁波信号以获得标签的数据信息.它首先是一个双向通信过程:一条链路为读写器到标签的信号,另外一条链路为标签到读写器的信号,只有两条链路都获得通信成功,RFID 才算完成了一次有效通信,因而RFID系统实际识别距离由最短的一条链路通信路径距离决定.根据无线通信中的Friis传输公式:

式中:Pt 是发射机的发射功率;Pr 是接收机的接收信号强度;er 和et 分别是接收.发射天线的辐射效率;λ 是工作电磁波波长;R 是两个设备之间的距离;Dr和Dt 分别是接收.发射天线的方向性(或者说定向增益).通过计算,可以得出下面公式:

由此可见,在天线增益Gt 和Gr ,工作频率fMHz 固定时,通信距离Rkm 取决于发射机功率和接收机灵敏度,这就是链路预算增加每增加6 dB 能够改善一倍通信距离的理论根据.

2 传统读写模块面临的问题分析
作为RFID 整体解决方案硬件组成中的核心部件,超高频读写模块射频前端最典型的特征是收发同频.同时,是一种不折不扣的自干扰射频收发系统.除了硬件自身的发射功率与接收灵敏度指标外,由于天线端的驻波的客观存在,引起的发射功率的反射波也直接影响着读写距离的远近.这是因为发射机功率遇到天线失配时的反射能量作为一种有害的干扰直接馈入到了接收机端,引起了接收机灵敏度的退化,进而降低了读写设备识别标签的实际距离,以Impinj 的Indy 芯片系列为例,其工作原理如图2所示.

从图2 中右下角的芯片厂家给出的测试数据表格可以看出,发射载波泄漏到接收机前端的能量大小对应的接收机的实际灵敏度差异是比较大的.很明显的一个规律:泄漏的能量越大,由于阻塞特性导致的接收灵敏度恶化就越严重.所谓阻塞,是指当一个很强的信号进入接收机时会使接收机前置放大器或混频器过载至完全饱和而导致前端阻塞,这种干扰通常会阻止信号的接收.或者一个邻近的信号进入接收机导致增益降低,这时接收机就好象不够灵敏了,丢失了较弱的信号,而降低了较强信号的信噪比,从而使接收机的灵敏度降低.
而实际情况是,通常天线的工作带宽是有限的,当受到外界环境的影响,天线的驻波比会变差,此时发射机的实际工作频段变得与天线阻抗不再匹配,PA 的输出功率会由于天线的反射而经由环形器(或者耦合器)馈入到读写器的接收端,恶化读写器的接收灵敏度,导致读写器的识别距离变短.如果在多标签盘点场合,也会由于读写器与标签之间的链路余量降低,表现为读写器的多标签处理能力减弱引起漏读.
3 改进型读写模块工作原理
针对前面所讲的传统读写模块的局限性,本文在仔细研究超高频RFID读写模块射频前端架构的基础上,提出了一种新颖的.能够有效减弱天线失配的技术方案.工作原理框图如图3所示.读写模块由CPU.射频收发芯片.PA(功率放大器).耦合器.检波器.天线调谐匹配网络.电源管理电路.连接器.射频接头以及散热片等主要部分构成.

与传统方案相比,该方案在天线与PA 之间增加了一个可调阻抗匹配网络.核心思想是通过实时检测天线的驻波来相应调整阻抗网络以保证耦合器对应的输出阻抗尽可能接近50 Ω,从而保证由于天线失配导致的反射能量足够小,以至于对接收机灵敏度的影响可以接近忽略.因而读写模块可以始终工作在最佳接收灵敏度状态,保证了对标签可靠识别.图4是通过电路建模仿真出的实际效果图,从Smith 圆图上可以看出,黑色的实心线表示的是在800~1 000 MHz 频段范围内初始天线驻波对应的阻抗值,以915 MHz为例,可以看出此时的复阻抗为36.858+j10.762,经过计算可以得出,此时天线的驻波比对应的回波损耗大约为-14 dB.
由圆点覆盖的近似扇形区域为自适应可调匹配网络的有效覆盖阻抗范围,也就是说只要在此范围内的均可通过调整元件值将天线的驻波调整到近似于1(对应的是50 Ω阻抗),此时的天线回波非常小近似于可忽略.
由前面图1可以分析出:如果此时的天线驻波状态很好的情况下,接收机的灵敏度主要受耦合器的隔离度影响.以R 2000 芯片为例,通过增加自适应可调匹配网络,可以使得接收灵敏度在传统读写模块性能基础上增加3 dB,经理论计算可以改善40%的读写距离.

4 结语
测试条件:天线45 mm×45 mm×7 mm 陶瓷片天线,增益2 dBic;标签Impinj J41 标签;模块输出功率30 dBm.
通过实验对比测试,可以发现采用自适应可调匹配网络的读写器模块不但在读写距离上,而且在多标签盘点数量上都较传统读写模块性能有较为明显提升,见表1.与前面的理论分析相符合.



