- 易迪拓培训,专注于微波、射频、天线设计工程师的培养
基于89c2051单片机的无线RFID系统设计
当今各种智能化控制系统离不开数据信息的传输。其中,无线数据传输是区别于传统有线传输的新型传输方式,系统不需要传输线缆且成本低廉。为单片机匹配相应的无线通信接口电路,即可实现单片机之间或单片机与微机之间的无线数据传输。目前常用的无线通信接口电路,是以无线收发芯片为核心的电路。当数据传输时,在软件设计中采取必要的抗干扰措施和识别措施,可以有效地避免干扰,达到满意的通信效果。文中以89c2051单片机为基础,进行无线通信以识别非接触式无线识别装置,其应用可以嵌入到电业管理或燃气收费等系统中,也可作为一个独立读卡器对RFID/xinpin/zhinenka/' target='_blank'>IC卡进行操作,配合不同软件可以应用于不同行业。
1 系统的工作原理
本设计以单片机作为阅读器和应答器的核心、这两部分主要使用LM567。本系统是一个小型的无线识别器件最大操作距离达70mm。系统内部结构分为射频区和接口区:射频区内含调制解调器和电源供电电路,直接与天线连接;接口区有与单片机相连的端口,还具有与射频区相连的收/发器、可以用单片机程序存放3套寄存器初始化文件的E2PROM以及进行3次数据证实防错误机制、防碰撞处理的防碰撞模块和控制单元。这是阅读器跟应答器实现无线通信的核心模块,也是设计的关键。
2 硬件电路的设计
无线识别系统装置由阅读器、应答器与耦合线圈(即天线)3部分组成。
2.1 阅读器的设计
阅读器基本电路,如图1所示。当有应答器靠近阅读器时,阅读器内的天线组成了一个LC并联谐振电路,其频率与应答器的发射频率相同,这样在电磁波的激励下,LC谐振电路产生共振,从而使高频信号流入阅读器中用于解调的LM567的输入端。输出的解调信号与上述单片机编码信号反向,最后经过单片机译码输出显示。
LM567具有调制和解调双重功能。其调解出来的信号可直接被单片机识别,并由单片机发送给数码管并显示。

图1 阅读器
2.2 应答器的设计
应答器工作时,通过89c2051单片机进行数据编码,然后送往LM567被调制到高频载波上,与其输出端相连的天线线圈不断地向外发出一组固定频率的电磁波(145kHz),当有应答器靠近阅读器时,阅读器识别并显示。应答器硬件电路如图2所示。

图2 应答器
2.3 耦合线圈(即天线)的设计
天线是一种转能器。发射时,把发射机的高频电流转化为空间电磁波;接收时,把从空间截获的电磁波转换为高频电流送入接收机。对于设计一个应用于射频识别系统的小功率、短距离无线收发设备,天线设计是其中的重要部分。良好的天线系统可以使通信距离达到最佳状态。天线的种类很多,不同的应用需要不同的天线。在小功率、短距离的RFID系统中,需要一个通信可靠、价格低廉的天线系统,耦合线圈环型天线是比较常用的一种。
2.3.1 分析环型天线的等效电路
环型天线激励点的电压和电流由环的输入阻抗联系起来,即V=ZI0。为了评估用于天线谐振的电容Z′in,环型天线的输入阻抗必须确定;同样,为了评估天线效率和辐射阻抗,环型导体内的欧姆损耗和其他欧姆损耗也必须确定。
2.3.2 天线设计参数
环型天线输入阻抗Zin可由下式给出:

式中,RR为辐射电阻;RL为环型导体损耗电阻;RX为额外欧姆损耗电阻;LA为环型天线电感;L1为环型导体电感。
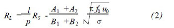
环型导体损耗电阻为:

式中,l为金属环形导体长度,p为环形导体交叉部分的周长,RS为导体表面电阻,u0为4π×10-7H/m;Σ为导体电导率;RL的单位为Ω。额外欧姆损耗电阻主要来自电容CP上的等效串联电阻:

2.4 带有天线的阅读器的等效电路
产生交变磁场所需的导体回路由线圈L1表示,串联电阻R1相当于导体回路L1中线绕电阻的欧姆损耗。为了当阅读器的工作频率为fTX时在导体回路L1中获得最大电流,从而产生最大磁场强度H,经电容器C1串联形成谐振频率fRES=fTX的串联谐振电路。
图4中,阅读器的发送器出口产生高频电压u2,接收器直接与天线线圈L1连接。串联谐振电路的总阻抗Z1为各项单阻抗之和,即:

2.5 天线连接的匹配研究
根据阅读器使用的频率范围,使用不同的方法将天线线圈连接到阅读器发送器的输出端。通过功率匹配将天线线圈直接连接功率输出级,或通过同轴电缆馈送到天线线圈。天线线圈L1在射频识别系统的工作频率范围内表现为阻抗ZL。为了实现与50Ω系统的功率匹配,必须通过无源的匹配电路将此阻抗转换为50Ω,然后通过同轴电缆即可几乎无损失且无辐射地将此功率从阅读器末级传送到匹配电路。
3 调试与测试
3.1 调试方法
电路在调试时,振荡频率可在0101Hz~500kHz内变化,必须调整振荡频率使与LM567的载波频率实现最佳匹配,否则将影响后续电路的解调(例如振荡频率与LM567的载波频率相差太近时将直接影响后续频率的解调等),而单片机的振荡频率也将影响输出波形,如果输出不是矩形波则可能影响单片机对信号的识别,使反应时间变长或编译出错,所以对电路调试非常重要。LM567要顺利实现相互调制与解调就必须对其进行调试,如果发射机正在工作,而接收机不能正确译码,则应调节定时电阻R8的阻值,使其符合要求。由于LM567的振荡频率(中心频率)要求精度很高,在调节R8阻值时,应将R8电阻换为10kΩ多圈精密线绕电阻。此电阻每旋转一周,电阻值变化几十欧姆,精度较高。如没有此电阻,也可用普通微调电阻代替但调整时要仔细。若条件许可,可将频率计直接接在发射机的LM567第5脚与地之间,测其振荡中心频率,记下数值,然后再测接收机LM567第5脚频率。如果接收机中心频率(指LM567)与发射机LM567中心频率不同,调节R8电阻值,使两机音频译码器中心频率相等即可。
3.2 测试数据
测试数据时测试了00~FF的全部8位编码(4位则一定没问题),多次计算并测量了电源供给功率,对于耦合线圈的距离测试了1~6cm范围内的数据传输,可保障5cm数据传输稳定。测试数据列表如下。

表1 测试数据列表
根据上述实验测量结果可以看出,此系统实现了题目要求的全部基本功能和大部分发挥功能,并有自己的特色发挥功能,性能可靠稳定。
3.3 测试结果分析
3.3.3 系统波形数据测试
采取自上而下的调试方法,即单独调好每一个模块,然后连成一个完整的系统,再进行总体调试。数据发送和接收信号比较,如图3所示。

图3 数据发送和接收信号的比较
3.3.2 系统本身可能产生的误差
(1)外界干扰因素
采用无线传输有一个十分突出的弊病,即容易受到电磁干扰及传输效果不佳的问题,由于外界高频信号,金属等很多器件都可能对电磁波产生干扰,所以电路难免产生错误
(2)距离干扰因素
电磁场在导电介质中传播时,其场量E和H的振幅随距离的增加而按指数规律衰减。从能量的观点看,电磁波在良导体中衰减很快,把由导体表面衰减到表面的1/e(约3618%),即在文中规定距离为5cm的原因就在于此,由距离因素产生的乱码及不可识别码也是产生错误的原因之一。
4 程序流程图
软件编程运用单片机汇编语言,编辑软件是Keil51,给出程序流程图如图4所示。

图4 程序流程图
5 总结
本系统的阅读器可在6cm范围内识别应答器的有无,若有应答器在监测范围内,则给出明确的指示并读取应答器预设的4位编码,然后显示;另外,应答器部分还可以通过开关设置4位编码在阅读器识别范围内送出编码信号。同时阅读器还具有对应答器的编码进行写入的功能,由应答器接收并储存。设计中重点是保证正确率,可以从软件上增加校验码来提高无线传输的可靠率。


