- 易迪拓培训,专注于微波、射频、天线设计工程师的培养
示波器频响方式对信号采集保真度的影响

脉冲响应原理
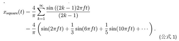
一个“完美”的方波脉冲包含了无数阶奇次正弦谐波分量的幅度,如公式1所示:

因此,我们可以认为测量系统采集脉冲信号的过程,也就是先采集其各个正弦谐波分量然后再合成脉冲的过程。现在测试测量设备包括数字示波器的前端输入带宽和模/数转换电路的带宽都是有限的(力科LabMaster 10-65Zi拥有目前实时示波器的最高模拟带宽65GHz),也就决定了能采集到的谐波分量频率是有限的,下图1表示最高到21次谐波的频率成份叠加后的结果:

一般来说,高速串行数据分析对仪器带宽的最低要求是能采集到信号基频的5次谐波,比如PCI Express 2.5Gbps数据率对应的时钟频率为1.25GHz,5次谐波则为6.25GHz,最低配置应为6GHz带宽示波器或串行数据分析仪(比如力科SDA 760Zi-A)。下图2为最高到5次正弦谐波合成后的脉冲结果。

图2、5次正弦谐波分量叠加后的脉冲波形
从以上可看出,信号采集的最高谐波分量不仅决定了方波脉冲的形状,而且影响了脉冲幅度和上升时间测量的结果,反应信号测量幅度与频率的对应关系称为”幅频响应”。
由于示波器前端模拟部件呈现出低通滤波特性,对输入信号的不同频率成份的通过能力不一致,高频分量的幅度衰减率要大于低频分量衰减率,因此幅频响应曲线不是线性变换,而是呈滚降(RollOff)趋势,尤其对高于示波器-3dB带宽的频谱成份更是表现出急剧滚降特征。根据幅度响应曲线的不同滚降方式,目前业内主流高性能示波器主要提供两种响应类型,分别是平坦化响应(Flat Response)和贝塞尔响应(Bessel Response)。
平坦化响应有两大优点。第一是信号在 -3dB带宽之前的幅频响应较为平坦,衰减较小,可进行非常精确的测量。第二是超过-3dB带宽后,频响曲线急剧下降,高频成份被有效截止(呈现出“砖墙”效应),通过的低频成分都能被后端ADC高保真采样,因而可大大减小数字示波器中的采样混叠机会,降低了波形失真度。平坦化响应示波器尽管有这些突出的优点,但也有非常显著的缺点:图1和图2的脉冲效果对比可看出,由于缺少更多的高频成份,5次谐波叠加的脉冲比21次谐波叠加的脉冲有更大的过冲和振铃。平坦响应截止了大量的高频谐波,因而表现出比较大的过冲和振铃现象,尤其是在信号上升时间很快,远远超过示波器可精确测量范围时,这种负面效应更为突出。
贝塞尔幅频响应对超过-3dB带宽的高频成分衰减速率相对较慢,因而表现出较小过冲和振铃的较好脉冲效应。但由于在-3dB带宽内对信号幅度响应相对来说不是很平坦,而且在-3dB带宽外会拖出一条较长的尾巴,这样使得后面的ADC需要更高的采样率才能确保不发生频率混叠现象。图3是贝塞尔响应和平坦响应对同一脉冲激励的形状对比,从中可以看出,平坦响应带来的过冲和振铃都相对较大。

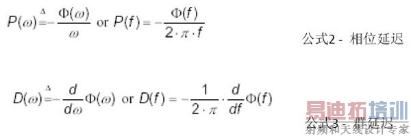
除了幅度响应外,与脉冲响应紧密相连的另外一个概念是相位频响。输入信号从数字示波器前端输入传递到屏幕显示之间,有很多模拟放大器构成一个放大器链,信号通过这些模拟器件需要一定的时间,或称为相位延迟(Delay)。不同频谱的信号在通过示波器内部通道时会产生不同的延迟,因而方波脉冲的不同谐波频谱的不同传播延迟会导致脉冲相位发生畸变,这种负面效应称为群延迟(Group Delay)。对于较低频率信号,群延迟的破坏性效应可以忽略不计,随着频率越高,这种负面效应是不可逃避的问题。群延迟会使示波器的实际上升时间比标称值更慢,而且会带来更大的抖动噪底。很显然,用户需要他购买的高性能示波器群延迟尽可能小,最好为零。 而力科高性能示波器普遍采用 DSP修正仪器的群延迟效应,根据不同的测试应用需要,主要有两种相位响应模型:第一个模型是线性相位(Linear Phase),第二个模型是最小相位(Minimum Phase)。
理想的线性相位概念源自群延迟概念。群延迟有时称为包络延迟,不应把它与相位延迟混淆。群延迟和相位延迟都与系统的相位相关,公式如下:

相位延迟是正弦曲线在频率f上的时间延迟,它假设正弦曲线一直保持不变。群延迟是f周围一组窄频率的幅度包络。可以看到,在相位Φ(f)随着频率线性变化时,相位延迟和群延迟的解都是一个恒定的延迟。在相位与频率的关系非线性时,相位延迟和群延迟都不会对频率保持恒定。在经常遇到的带限系统中,群延迟在频段边沿附近上升,这意味着在其通过示波器通道 时,信号的高频成分一般会延迟。在阶跃响应中,这表现为较慢的上升时间和较高的过冲,因为高频成分没有和边沿同时到达,而是在边沿传送后才到达。而理想的线性相位响应(或群延迟)则克服了这些问题。
在控制理论和信号处理中,如果系统及其倒数具有因果关系且稳定,那么随时间变化的线性系统有最小相位。生成最小相位设计的方式是设计FIR滤波器,是带宽有限系统可以实现的最佳响应,因为它具有因果效应,时间t<0时,所有输入激励均无响应,是一种更接近自然情况的相位响应方式。总体来说,对涉及眼图的测量,线性相位拥有更好的响应特点。但对于其他通用信号测试而言,最小相位响应对信号保真度效果更好。
2、脉冲响应优化类型
示波器对阶跃脉冲的响应(Step Response) 需要从两个方面来分析,一个是幅度响应,另一个就是相位响应(或群延迟)。用户在评估一台高带宽示波器性能时,会希望采集到的信号:1、更小的过冲Overshoot ;2、更小的前冲Preshoot ;3、更快的稳定时间也就是更小的振铃;4、与示波器标称带宽所一致的上升时间。
根据以上分析,贝塞尔幅度响应有更小的过冲或振铃,但上升时间也较慢,也会在-3dB带宽外引起采样频率混叠的负面效应;而平坦幅度响应上升时间更快,但会带来更大的过冲和振铃。至于相位响应方面,线性相位响应修正群延迟至零,降低了不同频率成分的相位不一致性,非常适合串行数据的测试和分析,比如眼图和抖动等。最小相位响应是一种“因果“响应,阶跃发生前的所有效应包括前冲都为零,是一种最接近真实世界的响应,适合通用信号测试领域,尽管它会带来最慢的状态翻转速率。
目前业界主要厂家研制的高性能示波器,对脉冲的幅度响应和相位响应可以组合成三种脉冲响应优化方式,分别是:Pulse Response采用四阶贝塞尔幅度响应和最小相位响应;Eye Diagram采用四阶贝塞尔幅度响应和线性相位响应;Flatness Response采用平坦化幅度响应和线性相位响应。
这三种响应优化类型不存在哪个更好的问题,而是分别适应了不同信号的测试应用需求。下表1总结了三种响应优化模式的不同特点和适用领域。

下图4显示了三种示波器响应方式对输入阶跃脉冲响应效果的对比总结。

从上图可分析出Pulse Mode阶跃脉冲跃迁速率最慢,前冲为零,-3dB带宽内幅度有一定衰减,-3dB带宽外幅度滚降速率较慢,在高频点群延迟不为零;Eye Mode阶跃脉冲跃迁速率较快,前冲被显著提高,因为需要达到与过冲一致的对称性,在整个带宽范围内都保持群延迟为零,特别适合眼图等串行数据分析方法,同样在-3dB带宽内幅度有一定衰减,-3dB带宽外幅度滚降速率较慢;Flatness Mode阶跃脉冲跃迁速率最快,但也有最大的过冲和前冲以及振铃等,-3dB带宽内幅频响应较平坦,超过-3dB带宽后,频响曲线急剧下降,其在通频带内能保持线性相位响应,对于纯粹正弦信号和调制波形测试来说非常合适。
3、如何选择合适的示波器响应模式
以上分析了了几种示波器响应的不同特点,以及它们的适用领域。示波器响应优化如何提高信号采集的保真度,我们可以做出以下结论:
1、 用户输入信号与屏幕上显示的波形之间的拟合程度“永远”受到示波器响应方式的影响;
2、 任何示波器都有非理想的行为,包括幅度衰减,相位偏差,噪声波动等;
3、 每个示波器厂家都会采取某种手段去最小化示波器响应对被测信号的负面影响,通常会带来性能的折中。而且需要认识到没有哪种示波器响应是理想的,最好的响应永远取决于用户的实际应用。
一般情况下,每个示波器厂家会根据自身仪器的市场侧重点,为高带宽示波器配置上述三种脉冲响应优化的一种,比如有的仪器厂商侧重于射频信号或矢量调制信号测试领域,它的示波器就只提供平坦化的响应优化模式,而有的仪器厂商为追求更高的眼图生成效果,就只提供Eye Mode响应方式,实际上用户的需求可能是多方面的,既需要测试信号通用特性,也可能需要分析串行数据信号质量,还可能需要采集射频信号等,仅提供一种响应模式无法满足客户希望使用示波器全部价值的需求。
力科全系列高端示波器不仅具有业界最好的性能指标,包括最高的65GHz模拟带宽和最快的160GSa/s实时采样率,而且还首次实现了在同一台示波器上同时支持三种脉冲响应优化模式的功能,从而为用户的不同测试需求提供了最高的信号采集保真度。


