- 易迪拓培训,专注于微波、射频、天线设计工程师的培养
示波器的无源探头知识
录入:edatop.com 点击:
示波器的探头种类非常多,与示波器相配的探头种类也非常多,包括无源探头(包括高压探头,传输线探头)、有源探头(包括有源单端探头、有源差分探头等),电流探头、光探头等。每种探头各有其优缺点,因而各有其适用的场合。其中,有源探头因具有带宽高,输入电容小,地环路小等优点从而被广泛使用在高速数字量测领域,但有源探头的价位高,动态范围小,静电敏感,校准麻烦,因此,每个工程师使用示波器的入门级探头通常是无源探头。最常见的500Mhz的无源电压探头适用于一般的电路测量和快速诊断,可以满足大多数的低速数字信号、TV、电源和其它的一些典型的示波器应用。 本文我们将集中讨论无源电压探头的模型和参数设定以及使用校准原理。 














一、10倍无源探头的模型以及输入负载设定

RC时间常量(RpCp和R1C1)必须相等;任何不平衡都会带来测量波形的失真,从来引起使一些参数如上升时间、幅度的测量结果不准确。因此,在测量前需要校准示波器的探头的工作以保证测量结果的准确性。
Vout=[R1/Rp+R1]*Vin=1/10* Vin



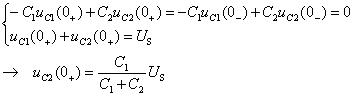
计算时间常数









探头欠补偿波形图


探头正常补偿说明图
上一篇:示波器实操特辑之15:参数设置保存
下一篇:电视示波器电路


