- 易迪拓培训,专注于微波、射频、天线设计工程师的培养
基于传感器实验台的数据采集系统设计
0 引 言
传感器原理实验台由一些分立元件组成的电路和指针式仪表构成,实验结果往往不是很稳定,而且以电流、电压形式显示的结果不是很直观。为了提高实验教学质量,将传感器实验台的输出送入计算机进行显示与数据处理。该系统人机界面友好,操作简单方便,已成功地应用于实验教学中,且效果良好。
l 总体设计
数据采集系统原理图如图1所示。

该系统采用PCIl711数据采集卡作为PC机与传感器实验台之间的接口。
2 系统介绍
数据采集系统采用Visual Basic 6.0实现,该系统能够对CSY传感器实验台的实验数据进行采集存储、处理以及图形显示等操作。参数设定设置实验名称、操作学生信息。数据采集分单次采集,连续采集2种。数据显示分简单显示和线性拟合显示2种。其他有数据打印、存储等。系统软件结构图如图2所示。

3 信号采集程序设计
选中“数据采集”,将出现如图3所示窗体。窗体提示将要选择采集数据的方式,是单次数据采集或是连续数据采集。单次数据采集窗体功能实现的流程图如图4所示。连续数据采集方式和单次数据采集基本相似,只是在单次数据采集程序的基础上加上一个FOR循环。

4 数据显示
数据显示有2种:一是将数据显示在文本框中;二是将数据显示在坐标中,并进行线性化处理。
4.1 数据在文本框中显示
数据在文本框中是一个个以顺序的形式显示的。要实现数据在文本框中显示比较简单,但是要解决的问题是如何将文本框中的数据的每一行读取出来。win-dows API提供有读取TextBox第N行的功能,在实现文本框中的每一行数据的读取后,再把每一行的值赋给MSFlexGrid控件的TextMatrix属性,做一个FOR循环,这样就可以实现采集卡数据的图表显示。
4.2 数据显示在坐标中
绘制实时采集数据曲线是为了实时观测,以便掌握实时采集数据变动的趋势,使曲线显示效果达到最佳。绘制曲线前要将需要的绘图范围及坐标轴的尺寸刻度设定好,然后根据速度测量结果及采集时间绘制实时测量曲线。
首先设置坐标轴与网格。新建Form,将属性name设为lanxu,在窗体上添加控件Picturebox作为趋势图的显示容器,在Pict.urebox上绘制坐标轴(在后面的坐标第绘制部分将讲到),横坐标轴是位移量,利用控件将z轴分为20格,每格代表移动0.5 mm,将.y轴分为10格,每格代表电压1 V。
在做好上述步骤的基础上,利用Picturebox的Line方法得到如图5所示的较为理想的实时曲线绘制效果。
5 数据线性化处理

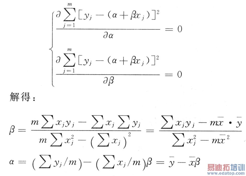
根据最小二乘法原理,解下面的联立方程就可以求出a,β等的估计值。

由于在实践中大量存在线性关系,在小范围内非线性关系又可以近似为线性关系,所以用正规方程求待定参数的一个常见的特例就是回归为线性,即求出关系式:y=a+βx中a,β的情况。解下式:

其拟合功能实现如下:


经过拟合后的图形如图6所示。

6 结 语
基于传感器实验台的数据采集系统将传感器实验过程清晰地展现在学生面前,使学生能够了解数据的变化趋势和浮动范围等。在对数据处理显示的同时也可以将数据存储起来。系统不仅可以完成传感器的静态实验,还可以完成简单的动态实验,提高了实验的可靠性和精确性。通过学生使用证明,它可以很好地对实验数据进行采集处理以及显示等功能的实现,可以很好地完成多门课程的实验。
上一篇:基于机器视觉的摄像机标定方法研究
下一篇:基于Dasylab的网络测试系统研究


