- 易迪拓培训,专注于微波、射频、天线设计工程师的培养
对测量结果进行参数转换
录入:edatop.com 点击:
概述
步骤
概述
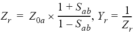
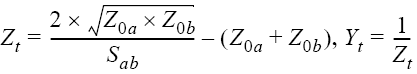
可以使用参数转换功能,将 S 参数 (Sab) 的测量结果转换为下列参数。
反射测量中的等效阻抗 (Zr) 和等效导纳 (Yr)

传输测量中的等效阻抗 (Zt) 和等效导纳 (Yt)

S 参数的倒数 (1/Sab)
其中:
Z0a:端口 a 的特性阻抗
Z0b:端口 b 的特性阻抗
当夹具仿真器功能和端口阻抗功能均处于“ON”(打开)状态时,将使用端口阻抗转换中设置的值。在其他情况下,将使用系统 Z0(预置值:50 Ω)。
步骤
ON/OFF(打开/关闭)
按“Channel Next”(下一通道)/“Channel Prev”(上一通道)键和“Trace Next”(下一迹线)/“Trace Prev”(上一迹线)键,以激活要使用标记的迹线。
按“Analysis”(分析)键。
单击“Conversion”(转换)。
单击“Conversion”(转换)打开转换功能。
选择转换目标参数
按“Channel Next”(下一通道)/“Channel Prev”(上一通道)键和“Trace Next”(下一迹线)/“Trace Prev”(上一迹线)键,以激活要使用标记的迹线。
按“Analysis”(分析)键。
单击“Conversion”(转换)>“Function”(功能)。
单击与要将结果转换到的参数相对应的功能键。
当转换功能处于“ON”打开状态时,选定的参数将显示在迹线状态区域中。


