- 易迪拓培训,专注于微波、射频、天线设计工程师的培养
确定迹线的平均值、标准偏差和峰-峰值
录入:edatop.com 点击:
概述
显示统计数据
概述
可以很容易确定迹线的统计数据(平均值、标准偏差和峰-峰值)。统计数据元素的定义如下图所示。

统计数据元素 | 定义 |
平均值 (mean) |
(n:点数;xi:第 i 个测量点处的测量值) |
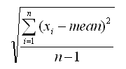
标准偏差 |
(n:点数;xi:第 i 个测量点处的测量值;mean:平均值) |
峰-峰值 (p - p)
| Max - Min (Max:最大测量值;Min:最小测量值) |
显示统计数据
按“Channel Next”(下一通道)/“Channel Prev”(上一通道)键和“Trace Next”(下一迹线)/“Trace Prev”(上一迹线)键,以激活统计数据所需的迹线。
按“Marker Fctn”(标记功能)键。
单击“Statistics”(统计)打开统计数据的显示。
上一篇:极限测试
下一篇:确定迹线带宽(带宽搜索)




