- 易迪拓培训,专注于微波、射频、天线设计工程师的培养
DSP控制的电力线通信模拟前端接口设计
2.3 信号发送
在该应用中,发送信号通过DSP控制器的片上PWM(脉宽调制模块)直接生成。每一位定义有24个周期,因此PWM控制器允许运行24个周期;而后,根据下一个发送位的极性,通过一个中断来重新给PWM输出赋值。欲发送的消息数据从应用层依次输送到会话层、传输层、网络层、数据链路层,然后到达物理层,形成发送波形。在数据链路层时,消息数据的CRC字经计算后附加给数据,物理层确定信道是否可用,然后把数据发送出去。
2.4 PWM生成发送波形
三级信号波形是通过把DSP控制器的两个PWM输出相加得到的,然后该波形由低通滤波器产生一个正弦波。与标准的二级方波相比,三级波形的奇次谐波能量要小很多,不同的脉冲宽度会产生不同的谐波频率。为了将滤波器需要清除的谐波减到最小,需要确定最佳的脉冲宽度。从下式对称脉冲的傅里叶级数公式,可以找到这个宽度。式(1)中T代表基波频率周期,ω代表脉冲宽度。

那么,总的谐波失真THD可用下式表达:

对式(2)求最小的总谐波失真,则最佳脉宽大约是周期T的37%;然而,这还没有考虑到低通滤波产生的影响。如果用二阶低通滤波器,将会得到不同的结果。在模拟时,二阶低通滤波器的Q设置为2.3。如果Q很大,THD会更好,但是会造成码间干扰,因此,最好是把正负数字脉宽设为脉冲周期的1/3长,将低通滤波器角频率和数字脉冲序列的频率设为相同。1/3脉宽可以通过使用12倍于发送波形频率的定时时钟信号来获得,如图5所示。通过使用1个模拟电路,将2个数字信号相加,而后低通滤波器滤掉谐波,就可以从PWM输出获得正弦波。

图5 三级波形结构
2.5 发送放大器设计
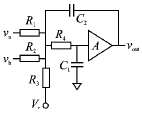
发送放大器由SallenKey滤波器决定,发送低通滤波放大器如图6所示。这个电路的传输函数如下:


图6 发送低通滤波放大器
这里,R1=kR,R2=R,C1=C,C2=aC。假设放大器增益为2,则vout可以表示如下:

Q最大时滤波器的峰值最大,而当商数k/(1+k)为1时Q最大。
因此图6中SallenKey滤波器中的电阻R1和R2一般相等,Q根据电容的比值来确定。发送放大器有2个输入端,2个输入信号是从处理器的PWM输出端中的信号过滤而来。放大器发送频率的峰值越大,谐波频率中的相对衰减也越大,因此,希望电阻R1、R2、R3的并联组合与R4电阻相等,以此来获得一个较大的Q值。
若定义R4=R,则:

此外,定义衰减因素k为:

然后,能根据R和k来定义电阻值:

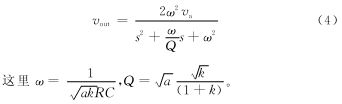
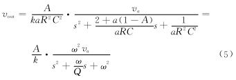
定义电容为C1=C,C2=aC,根据A、k、a、R和C,发送放大器的传输函数如下:

其中:

给定Q,电容比率为:

若放大器增益A=2,且取a的较小解,则

最后,s=0,传输函数增益为:

这样,就求得了所有定义发送放大器部件的参数,通过以上的参数可以设计调制解调器模拟终端。
3 结论
本文只对电力线调制解调器的硬件设计过程进行了描述,软件设计主要是根据CEA709协议的要求通过DSP来完成的。在设计和实现中还有许多关键技术问题需解决,因篇幅所限未作详细说明。这个基于单一定点DSP控制的调制解调器硬件系统在各种电力条件下进行检测,其功能较稳定和可靠,正应用于智能家居的系统中。
参考文献
[1] ANSI/EIA/CEA709.1B2000 Control Network Protocol Specification[OL]. [20070512].http://www.lonmark.org/products/guides.htm#lontalk.
[2] Warren Webb. Thinking inside the box: Buildings get a brain[J]. EDN,2005(7):49-57.
[3] Texas Instruments TMS320F2812 Data Manual[OL].[20070810].http://focus.ti.com/lit/ds/symlink/tms320f2812.pdf.
[4] Digital Addressable Lighting InteRFace Activity Group (DALI AG) of ZVEI, Division Luminaires Stresemannallee 19, D60596 Frankfurt am Main, Germany[OL].[20071020]. http://www.daliag.org/.
[5] MATLAB is a product of The MathWorks[OL]. [20071020].http://www.mathworks.com/.
[6] 宦若虹,金向东. 基于OFDM的电力线通信系统的Matlab仿真[J]. 现代电子技术,2006,29(1):129-131.
[7] Zimmermann M,Dostert K. A Multipath Model for the Power Line Channel[J]. IEEE Trans.Commun.2002,50(4):553-559.
[8] Zimmermann M,Dostert K.Analysis and Modeling of Impulsive Noise in Broadband Power Line Communications[J]. IEEE Trans. Electromagnetic Compatibility,2002,44(1):249-258.
作者:装甲兵工程学院 陈建明 来源:单片机与嵌入式系统应用

