- 易迪拓培训,专注于微波、射频、天线设计工程师的培养
基于UC3842的单端反激式开关电源的设计与分析
0 引言
电源装置是电力电子技术应用的一个重要领域,其中高频开关式直流稳压电源由于具有效率高、体积小和重量轻等突出优点,获得了广泛的应用。开关电源的控制电路可以分为电压控制型和电流控制型,前者是一个单闭环电压控制系统,系统响应慢,很难达到较高的线形调整率精度,后者,较电压控制型有不可比拟的优点。
UC3842是由Unitrode公司开发的新型控制器件,是国内应用比较广泛的一种电流控制型脉宽调制器。所谓电流型脉宽调制器是按反馈电流来调节脉宽的。在脉宽比较器的输入端直接用流过输出电感线圈电流的信号与误差放大器输出信号进行比较,从而调节占空比使输出的电感峰值电流跟随误差电压变化而变化。由于结构上有电压环、电流环双环系统,因此,无论开关电源的电压调整率、负载调整率和瞬态响应特性都有提高,是比较理想的新型的控制器闭。
1 电路设计和原理
1.1 UC3842工作原理
UC3842是单电源供电,带电流正向补偿,单路调制输出的集成芯片,其内部组成框图如图l所示。其中脚1外接阻容元件,用来补偿误差放大器的频率特性。脚2是反馈电压输入端,将取样电压加到误差放大器的反相输入端,再与同相输入端的基准电压进行比较,产生误差电压。脚3是电流检测输入端,与电阻配合,构成过流保护电路。脚4外接锯齿波振荡器外部定时电阻与定时电容,决定振荡频率,基准电压VREF为0.5V。输出电压将决定变压器的变压比。由图1可见,它主要包括高频振荡、误差比较、欠压锁定、电流取样比较、脉宽调制锁存等功能电路。UC3842主要用于高频中小容量开关电源,用它构成的传统离线式反激变换器电路在驱动隔离输出的单端开关时,通常将误差比较器的反向输入端通过反馈绕组经电阻分压得到的信号与内部2.5V基准进行比较,误差比较器的输出端与反向输入端接成PI补偿网络,误差比较器的输出端与电流采样电压进行比较,从而控制PWM序列的占空比,达到电路稳定的目的。

1.2 系统原理
本文以UC3842为核心控制部件,设计一款AC 220V输入,DC 24V输出的单端反激式开关稳压电源。开关电源控制电路是一个电压、电流双闭环控制系统。变换器的幅频特性由双极点变成单极点,因此,增益带宽乘积得到了提高,稳定幅度大,具有良好的频率响应特性。
主要的功能模块包括:启动电路、过流过压欠压保护电路、反馈电路、整流电路。以下对各个模块的原理和功能进行分析。电路原理图如图2所示。

1.2.1 启动电路
如图2所示交流电由C16、L1、C15以及C14、C13进行低通滤波,其中C16、C15组成抗串模干扰电路,用于抑制正态噪声;C14、C13、L1组成抗共模干扰电路,用于抑制共态噪声干扰。它们的组合应用对电磁干扰由很强的衰减旁路作用。滤波后的交流电压经D1~D4桥式整流以及电解电容C1、C2滤波后变成3lOV的脉动直流电压,此电压经R1降压后给C8充电,当C8的电压达到UC3842的启动电压门槛值时,UC3842开始工作并提供驱动脉冲,由脚6输出推动开关管工作。随着UC3842的启动,R1的工作也就基本结束,余下的任务交给反馈绕组,由反馈绕组产生电压给UC3842供电。由于输入电压超过了UC3842的工作,为了避免意外,用D10稳压管限定UC3842的输入电压,否则将出现UC3842被损坏的情况。
1.2.2 短路过流、过压、欠压保护电路
由于输入电压的不稳定,或者一些其他的外在因素,有时会导致电路出现短路、过压、欠压等不利于电路工作的现象发生,因此,电路必须具有一定的保护功能。如图2所示,如果由于某种原因,输出端短路而产生过流,开关管的漏极电流将大幅度上升,R9两端的电压上升,UC3842的脚3上的电压也上升。当该脚的电压超过正常值0.3V达到1V(即电流超过1.5A)时,UC3842的PWM比较器输出高电平,使PWM锁存器复位,关闭输出。这时,UC3842的脚6无输出,MOS管S1截止,从而保护了电路。如果供电电压发生过压(在265V以上),UC3842无法调节占空比,变压器的初级绕组电压大大提高,UC3842的脚7供电电压也急剧上升,其脚2的电压也上升,关闭输出。如果电网的电压低于85V,UC3842的脚1电压也下降,当下降lV(正常值是3.4V)以下时,PWM比较器输出高电平,使PWM锁存器复位,关闭输出。如果人为意外地将输出端短路,这时输出电流将成倍增大,使得自动恢复开关RF内部的热量激增,它立即断开电路,起到过压保护作用。一旦故障排除,自动恢复开关RF在5s之内快速恢复阻抗。因此,此电路具有短路过流、过压、欠压三重保护。
1.2.3 反馈电路
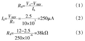
反馈电路采用精密稳压源TL431和线性光耦PC817。利用TL43l可调式精密稳压器构成误差电压放大器,再通过线性光耦对输出进行精确的调整。如图2所示,R4、R5是精密稳压源的外接控制电阻,它们决定输出电压的高低,和TL431一并组成外部误差放大器。当输出电压升高时,取样电压VR7也随之升高,设定电压大于基准电压(TL431的基准电压为2.5V),使TL431内的误差放大器的输出电压升高,致使片内驱动三极管的输出电压降低,也使输出电压Vo下降,最后Vo趋于稳定;反之,输出电压下降引起设置电压下降,当输出电压低于设置电压时,误差放大器的输出电压下降,片内的驱动三极管的输出电压升高,最终使得UC3842的脚1的补偿输入电流随之变化,促使片内对PWM比较器进行调节,改变占空比,达到稳压的目的。R7、R8的阻值是这样计算的:先固定R7的阻值,再计算R8的阻值,即

作者:夏泽中,王彬, 李军 来源:电源技术应用
上一篇:视频监控系统架构的选择
下一篇:电信级以太网在中国运营商中的应用调研


