- 易迪拓培训,专注于微波、射频、天线设计工程师的培养
微波视频监控系统的RTP协议设计
RTP本身并不提供任何机制来确认传送时间与提供服务品质(QoS)保证,这些功能只能靠着较低层网络的服务来提供。RTP不保证数据一定送到,也不会纠正包的失序,但是RTCP包中包含了包序号,接收端依照包序号重建数据。
RTP专为实时流媒体的传输制定,他是基于UDP的基础上,充分考虑到实时性的要求,同时RTCP(实时传输控制协议)给予适当的QoS保证。RTP协议包括网络的初始化,IP地址与端口的设置,把数据帧拆分为小包以便通过适应网络环境,发送数据包,发送后的数据通过协议转换器后通过阿尔卡特A98000以微波方式进行传输,或者通过CDMA信道直接进行传输。基于RTP的视频传输系统结构图如图2所示。

4.2 RTP协议设计实现
系统采用的基本控制流程如图3所示。
其中流量和拥塞控制采用以下机制:

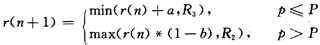
其中:P为丢包率阈值;p为当前丢包率;a,b为调节系数;最小速率为R2,最大速率为R3,初始时发送速率r(n)=R1,(R2<R1<R3)。

在某个会话中,参与者可能位于防火墙之后,不能通过组播方式参与会话。可以将两个转换器分别放在防火墙的两侧,在外侧的转换器将收到的组播包集中起来,通过可以穿透防火墙的管道连接到防火墙内部的转换器,而防火墙内部的转换器将包重新以组播的方式发送给防火墙内的参与者。转换器和混合器的框图如图4所示。

RTP通过发送冗余信息来减少接收端的丢包率,这样会增加时延,与冗余片不同的是他增加的冗余信息是个别重点信息的备份,适合于应用层的重要信息的保护。
5 结 语
微波传输方式的主要缺点是带宽窄和误码率高。因此需要更好的传输技术,以得到高质量的图像监控系统。本文提出了一种微波视频监控系统的RTP传输协议设计,取得了良好的效果。
(1)视频图像传输功能的测试。本系统的目标是实现窄带带宽下的视频传输。我们首先测试了在64 k的低带宽条件下的视频传输,对于CIF图像,即352×288的标准分辨率图像,我们可以获得大约高达2-5帧/s的传输速率。传输速度同时会随着视频流的不同,而有所变化。这样的帧率对安全监控已经满足要求。个别时候由于干扰发生丢帧情况时,时延会增大,画面质量的平均PSNR在30 dB左右,基本满足了视觉需要。
(2)如果将6个64 k绑定成为一个384 k的通道,为了实现高性能的图像传输,我们选定分辨率D1,即704×576,即实现高于DVD的画质。针对384 k的链路也进行了测试,压缩帧率平均在20~25帧左右,基本连续,对人眼没有跳跃的感觉。人物面貌清晰可辨.对于辨认不法闯入分子的身份有很大的帮助,达到了预先的设计目标。但在微波链路受到干扰的时候,时延也会有所增大。
作者:高 强,吕 为,胡子衡,袁誉乐,吴 云,赵 勇
(1.广东电网公司 深圳供电局 广东 深圳 518001;
2.北京大学 深圳研究生院 广东 深圳 518055)
上一篇:视频会议系统建设的前期规划
下一篇:基于DSP的脱机视频编/解码系统


