- 易迪拓培训,专注于微波、射频、天线设计工程师的培养
基于滑模控制感应加热电源的电流仿真分析
1 引 言
本文介绍一种应用软开关技术的感应加热逆变电源控制器。运用软开关技术,功率器件在电流过零点时进行切换,电流控制器采用离散时间状态。在电路参数有规律的采样中,输出电流可以离散化,得到离散数学模型。针对感应加热电源逆变控制器,提出了一种准滑模控制策略。该控制方案的优点有:设计的系统控制简单,容易满足实际的工业应用,可进行数字化处理;设计的系统控制对逆变器参数变化不敏感;控制系统可以实现全范围的系统操作。
采用滑模控制方式的逆变器与传统控制方式相比,具有良好的动态特性、鲁棒性以及在电源和负载大范围变化时能保证系统稳定性的优点。滑模控制方式要求全状态变量反馈,且需要相应的基准参考量,增加电路设计的复杂性,所以一般的滑模控制方式大多停留在理论分析和仿真阶段。
滑模控制与常规控制的根本区别在于控制的不连续性,即一种使系统"结构"随时间变化的开关特性。由于功率变换器中开关元件的存在,使滑模变结构控制理论得到广泛应用。

2 负载回路的数学模型
图1为串联谐振感应加热系统电路结构图,其中负载回路由电容Cc、感抗L和电阻R串联形成振荡回路。假设直流电压Vdc连续,C远大于振荡电容Cc,变压器变比N为1。
假定初始电流为零,负载电路上电压为VS,则输出电流i0和电容电压vc的时域方程为:

由于采用软开关技术,系统的开关频率等于振荡频率。串联谐振电路的输入电压vs可由以下开关状态决定:

为方便地表述逆变器运行状态,引入一个新的离散变量M(k)如下;

图2为运行状态描述,(a)为开关导通状态;(b)为输出电流io,整流电流∣io∣,参考电流Iref,每半周期电流峰值Io;(c)为运行状态(1:输入功率模式,0:自由衰减模式);(d)变压器二次侧电压Vs。

于是,式(3)可改写成为:

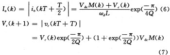
该式表明,运行状态一旦确定,Vs的幅值为Udc,符号由i0(t)决定,式(5)中T=π/ωd是半个振荡周期,每半个振荡周期的输出电流峰值绝对值Io和电容电压Vc可用离散变量表示。由于Q远大于1,可认为
;Vc比Io滞后π/2,可得差分方程:

电容电压Vc离散状态的动态峰值由式(7)自身表示。将式(7)代入式(6),就可得负载回路的离散电流状态方程:

M=1电路工作在输入功率模式下,谐振环节电流持续增加;
M=0电路工作在自由衰减模式下,谐振环节电流不断减小;
M=-1电路工作在再生功率模式下,谐振环节电流较自由衰减模式减小更快;
本文只使用前2种工作模式,即在功率输入与自由衰减2种状态运行,变量u(k+1)表示电流控制强度,实际取值为{1,0.5,0}。根据以上分析得到的离散电流动态模型,可分析电流控制器设计方案。
3 滑模变结构电流控制策略
本节讨论一种应用比例积分滑模的电流控制技术。目的是使在稳态下输出电流峰值的绝对值Io有一个较小的电流偏移量时,能够较为准确地跟随于期望的参考电流Iref,在阶跃输入时可以有快速的瞬态响应和较小的超调量。
引入滑模变结构控制理论(the theory of VariableStructure Control,VSC)。所谓滑模变结构控制是:当系统状态运动到某特定点,使得由状态决定的切换函数值发生变化,系统运动方程由一种形式转换为另一种形式,即结构发生变化。在不断的结构变化中,系统以滑模形式运动至平衡点,由于逆变器内在的开关原理,使其非常适合滑模控制。它的突出优点是滑动模态可以具有对系统摄动、不确定性以及干扰的"完全自适应性"。由于电容和电感变化较小,可忽略其对滑模面的影响,故滑模控制策略有较好的适用性。电流控制的离散滑动模型可由式(8)表述。
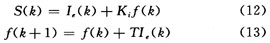
滑模切换函数的选取影响系统的动态品质,本文采用电流误差积分滑模面,切换函数可表述如下:

S为离散滑模切换函数,Ki为积分增益,Ie=Iref-Io为电流误差。
电流控制器的控制律为:

作者:戴 斌 来源:现代电子技术
上一篇:创建理想的低功耗设计
下一篇:CPF在低功耗设计验证中的应用


