- 易迪拓培训,专注于微波、射频、天线设计工程师的培养
CPLD在线缆快速测试技术中的应用
1.引言
随着电子技术的发展,复杂可编程逻辑器件CPLD(Complex Programmable Logic Device)以其高速、高可靠以及开发便捷、规范、能完成任何数字器件功能的优点[1], 越来越广泛地应用于电子仪器中。
线缆的安装质量的好坏将直接影响电气柜的质量,因此线缆测试是电气柜线缆安装过程中非常重要的环节。线缆快速测试技术是指实时、高效、准确、同时测试多条线缆的连通性能(通断、短路、错接),是目前多数电气传动类企业所希望使用的技术[2]。
本文根据国内外线缆测试技术的发展及生产企业的实际要求,设计了一种新型便携式线缆组快速测试系统。该测试系统采用两块CPLD 用于接口电路,从而实现多组线缆(内有多条导线)同时测试,检测线缆的通断、短路和错接情况,进而达到快速检测线缆连通性能的目的。
2.测试系统工作原理
线缆的连通性是指线缆中任意两根线之间不得短路、断路及错接[3],是其他线缆特性测试的基础。电气柜因型号不同,每组线缆的数量不同,多者可达几十条,少者仅有几条。为了使测试系统的应用具有广泛性,本文将CPLD引入设计中,将被测线缆组接于两块基于CPLD的接口电路之间。用户通过键盘输入待检测线缆组的图号,然后按开始键后CPLD工作,输入的信号通过被测线缆输出到另一CPLD进行数据信息汇总,然后通过SPI(Serial Peripheral Interface)接口模块将数据传递给单片机进行处理,单片机对比接收和发射的数据,从而判断出线缆组中每条线缆的连接状况,并将测试结果通过液晶显示屏显示。测试系统原理框图如图1所示。
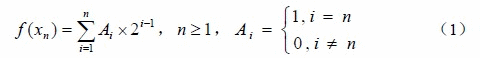
不同于双绞线等其他线缆的测量[4-5],电气柜线缆组具备两端测量的条件,因此可以采用施加数字信号来实现检测。假设被测线缆组有n条线缆,施加的测试信号为
,且

返回信号为
,且:

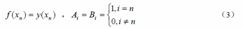
则线缆连通良好的条件为:

例如,测试第一条线缆时,单片机输出给CPLD1#的信号为
,测试第二条线缆时,输出给CPLD1#的信号为
,以此类推,经CPLD2#返回到单片机的信号y(xn )中"1"的个数与发出信号f (xn ) 中"1"的个数一致且位置对应,说明线缆连通性良好;个数一致但位置不对应,则可知线缆错接;若"1"的个数多于测试信号中"1"的个数,说明线缆组中有线缆短路,通过确定返回信号中"1"的位置即可断定哪几条线缆之间发生了短路;若返回信号中没有"1",
则说明被测的这条线缆开路。

Fig. 1 The block diagram of test system
来源:电子产品世界


