- 易迪拓培训,专注于微波、射频、天线设计工程师的培养
基于DSTFT的FSK信号的解调
1 引言
移频键控(FSK)是数字通信中一种常见的调制方式,由于它解调延时短、电路设计简单、易于实现而且具有较强的抗干扰和抗衰落的能力,因而广泛地应用于电力线载波通信及公用交换网上的数据通信等中低速远程数据通信中。在传统的移频键控信号的数字解调理论中,可以分为两大类:一类是相干方式解调,另一类是非相干方式解调。相干数字解调接收质量最佳,但在其解调过程中恢复出具有精确频率和相位的相干信号较为困难,所需设备也较复杂。而采用非相干数字解调方法,可根据数字移频键控信号的特点,在接收端不需要相干信号,因而被广泛使用。但是现有的解调2FSK信号的方法,大多采用时域解调的方式,本文提出了一种利用离散短时傅里叶变换(DSTFT)在时域和频域解调2FSK信号的新方法。
2 利用DSTFT方法解调2FSK信号
2.1 离散短时傅里叶变换
离散短时傅里叶变换定义为:

其中:x(n)为输入信号序列,w(n)为移动窗函数,N为窗宽度。由式(1)可见,DSTFT实际上是加移动窗的离散傅里叶(DFT)变换,窗函数w(n)一般对窗中心对称,其作用是取出x(n)在n时刻附近的一小段信号进行傅里叶变换。
短时傅里叶变换具有明显的物理意义,它可以看作是信号x(n)在"分析时间"n附近的"局部频谱",当n变化时,得到信号频率随时间n变化的规律。可以看出,DSTFT将时域和频域组合在一起,反映了某一时间点附近的频率分布情况,因而可以提取频率局域化信息。
根据DSTFT的原理,提出了一种用它解调BFSK信号的方案,整个系统实现框图如图1所示。
2.2 判决算法
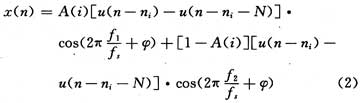
典型的2FSK离散数字信号可表示为:

其中,A(i)代表第i个码元,N代表码元宽度,f1和f2是信号的两个载频(分别代表数据0,1),fs是采样率。
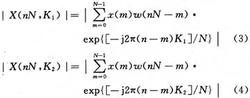
信号的2个载波频率点分别为K1=[Nf1/fs]和K2=[Nf2/fs]([?]表示取整)。频率点的幅度值为:

如果∣X(nN,K2)∣>∣X(nN,K1)∣,判为码元1,否则判为0,这样解调虽然简单,但需要精确的码元同步(即采样起始点在两个码元连接点上)。信号采样起始点具有很大的随机性,并不能保证从码元起始变化点开始采样。所以码元同步是解调的关键所在。

来源:《现代电子技术》
上一篇:开关电源中PWM芯片待机功能的研究
下一篇:光纤网络中运营以太网服务的划分发布


