- 易迪拓培训,专注于微波、射频、天线设计工程师的培养
基于OFDM的电力线载波通信的研究
引言
电力线载波通信是以电力线为传输媒介,通过载波方式传输模拟或数字信号的技术,而且无外架通信线路。介绍正交频分复用的基本原理,根据利用正交频分复用OFDM(Orthogal Frequency Division Multiplexing)技术能够较好调制解调信号的特性,提出一种基于OFDM的电力线载波通信系统设计方案,利用电力线实现载波通信。
2 电力线载波通信
电力线载波通信是电力系统特有的一种通信方式,可用于传输电话、远动数据和远方保护等信号,是确保电网安全、优质、经济运行,实现调度自动化和管理现代化的重要通信方式。它以电力线路为传输通道,具有通道可靠性高,投资少见效快,与电网建设同步等优点。
图1为电力线载波通信系统组成图。其基本原理是将载有信息的高频信号施加到电力线上进行数据传输,再通过电力线调制解调分离出电力线信道的高频信号,然后传送到终端设备。

各种成熟的调制解调技术已应用到电力线载波通信系统,针对适应高速率传输,正交频分复用调制解调技术是解决传输频带利用率的有效方法。电力线载波通信技术在高、中、低压3个电压等级的应用技术、线路状况和应用要求都有所不同,高压电力线载波是指应用于35 kV及以上电压等级的载波通信设备。载波线路状况良好,主要传输调度电话、远动、高频保护及其他监控系统的信息。
3 OFDM调制解调技术
OFDM是一种将若干个彼此独立的信号合并为一个可在同一信道上传输的复合信号的方法。其数据传输的基本原理是把串行数据流转换成N路速率较低的并行数据流,用它们分别调制N路子载波后并行传输,子载波相互正交其频谱相互重叠,从而具有很强的抗信道衰落能力和较高的频谱利用率,并能很好地抑制码间干扰。
3.1 OFDM调制原理
图2为OFDM调制的基本原理图。设OFDM符号周期为T,在一个周期内传输N个码元
为复数,Xn调制第n个子载波exp(j2πfnt),则合成的OFDM复信号为:


其中第n个子载波频率选择为:



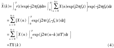
式中,X(k)是接收端第k路子载波的输出信号。
从式(4)看出,它与发送端的第k路子载波信号相等,这样可正确解调出该载波的原信号X0,X1,…XN-1。

作者:王子敬,邓磊 西南交通大学 来源:国外电子元器件
上一篇:智能规划数据中心的绿色布线
下一篇:局域网建设过程中布线的十大问题


