- 易迪拓培训,专注于微波、射频、天线设计工程师的培养
基于同伦算法的逆变电源特定消谐法的研究
3 同伦算法的建立
3.1 同伦算法
同伦方程的数值解法有2种:同伦延拓法;参数微分法。采用参数微分法将非线性方程组(4)简写为:
F(a)=0 (5)
式中,F:D∈Rn→Rn。令a*是方程组(5)的解。
非线性超越方程组(5),一般采用牛顿迭代法求解,但该方法对初值的选取要求较为严格,即要求初始近似解a0与解a*充分靠近,才能使迭代数{ak}收敛于a*。实际计算中要找到满足要求的迭代初始值往往很困难,如果给出的初始值导致迭代不收敛,就需要重新给初始值再计算,这样就大大降低了求解速度,难以实现实时控制。为了解决这个问题,这里尝试用同伦法求解。同伦法是一种用于非线性方程组数值求解的新方法,具有全局收敛和收敛速度快等优点,其基本的思想是:对于该方程组,引人参数t,构造一族映射H,使当t为某一特定值(例如t=1)时,H就是映象F,而当t=0时,得出方程组F0(a)=0的解a0是已知的。也就是说,构造一簇映射H:D×[O,1]∈Rn+1→Rn,代替单个映射F,使H满足条件:

式中:F0(a)=0的解a0为已知,而方程H(a,1)=0就是原来的非线性方程组(5),现在把问题变为求解同伦方程:

构造满足条件(6)的同伦H可以是各种各样的。这里,构造H(a,t)=F(a)+(t-1)F(a0)。可以证明,该同伦方程存在惟一解a=a(t),且a(t)是微分方程式(7)的解,式(7)为:

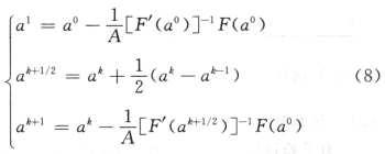
因此,通过求解微分方程初值问题式(7)的数值解,可得到方程(5)的解。用具有二阶精度的中点求积法,得到:

式中:k=1,2,…,A-1,A为正整数。
只要F'(a)-1存在,且A足够大,可证明由式(8)求得的nA可作为式(5)的解a*的一个好的近似,再用牛顿迭代法可求得精确解。
3.2 算例
根据文中采用的模型及算法,取开关角N=8,随着基波幅值q的变化得到一组开关角的解轨迹(取UDC=1),如图4为显示开关角aN随基波幅值q的变化,取q=0.3,q=0.5和q=0.7时得到的三组开关角的解如表3所示。

在实际的运算过程中,将牛顿法和该方法进行比较,发现这种方法的收敛域扩大,如N=8,q=O.9,取初值a0=[5,20,30,40,50,60,70,80]时,用牛顿法迭代和简化牛顿法都不收敛,用同伦法(固定迭代次数A=4)则只需7次。如N=20,q=1.0,a0=[1,8,12,15,20,25,28,30,35,40,45,50,52,60,65,68,70,75,80,90]时,用牛顿法迭代不收敛,用同伦法只需3次,加上预迭代10多次;若用同样一组靠近真值的初始值开始迭代,尽管两种方法都收敛,但同伦法的迭代次数比牛顿法少。取a0=[9,10,16,18,23,26,30,35,38,44,46,52,54,61,62,69,70,78,78.2,90]时,用两种方法都收敛,但用同伦法要比牛顿法迭代次数少很多,这样的例子很多,所以同伦法有很多优越性。
4 研究结果
4.1 仿真研究
为了验证同伦算法所得结果谐波消除的效果,采用Matlab仿真,以五电平级联多电平逆变器为例,对SHEPWM控制方法进行了仿真研究。仿真参数:调制频率50 Hz,直流电压VDc=20 V,基波幅值q=O.7,α见表3。图5给出了五电平级联多电平逆变器输出电压(V0)的仿真PWM波形和谐波频谱分析如图1所示,开关个数N=8通过Matlab仿真和DSP系统中的TMS320F2812实验台给出了结果。由图5可见,3,5,7,9…等低阶奇次谐波被消除了,由此说明,由前面的同伦算法计算得到的结果是正确的,它与预期的谐波次数一致。

4.2 实验研究
为了进一步验证同伦算法计算的SHEPWM结果的实际消谐效果,进行具体的实验研究。以TI公司的TMS320F2812控制平台为控制器,把离线运算结果(见表3)中的相应部分存入到DSP中,然后通过查表法取得开关切换时刻。图6所示为实验波形。
对比图5与图6可知,五电平级联多电平逆变器的实验波形与仿真结果非常一致,故实验所得的波形是正确。验证的同时说明,由同伦算法计算出的SHEPWM超越方程组的结果是正确的。
5 结 语
这里通过对逆变电源消谐模型的研究,提出了用同伦算法求解该模型的方法。这种算法的优点在于它对初值没有严格的要求,并且具有很宽的收敛范围和收敛速度,可以保证求解过程的正确性和快速性。并通过仿真和实验验证了该算法。如果能提高CPU速度或采用并行运算进一步提高运行速度,实现实时消谐PWM控制是完全可能的。因此可以预见它将成为逆变器PWM控制中很有发展前景的控制算法。


