- 易迪拓培训,专注于微波、射频、天线设计工程师的培养
补偿电铁谐波及无功电流的有源滤波器的研究
式中:ka,kb为待定的开关系数;Udc为直流侧电容电压值。
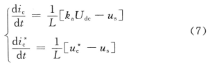
变流器正常工作时,开关A,B共有四种逻辑组合,若设开关与上桥臂接通时状态为"1",与下桥臂接通时状态为"0",那么对应于变流器主电路就有四种工作状态,这四种工作状态对应确定的开关系数。由式(5)可以看出,有源滤波器的补偿电流是由变流器输出电压kUdc与交流侧电源电压us共同作用在滤波电感L上产生的,对于该电流有(以开关工作模式为[1 0]为例):

式中:ic*为变流器的指令电流;uc*为与ic*相应的变流器上的指令电压,由式(7)可得:

由此可见,uc*与电源电压us有关,它们之间存在线性的比例关系,所以引入一个与电源电压成正比的参数K2,那么uc作为变流器的输出指令电压,其控制关系如下:

其中:K1,K2为比例系数,均可通过PI控制器来实现;ic为变流器的补偿电流。
改进的三角波调制电流控制方法与传统的三角波调制电流控制方法相比,通过在输出指令电压中增加一个与电源电压成正比的量,消除了电源电压的干扰,可减小电流误差的波动范围。
3 仿真结果分析
交直型电力机车是电铁供电系统的负载和谐波源,其主电路采用大功率晶闸管与二极管组成的不对称不等分4段半控桥式整流电路。本文对电力机车的整流系统进行了简化,采用单相可控整流桥代替多段半控桥,其仿真波形如图2所示。

为了验证滤波效果,用Matlab软件搭建了有源滤波器的仿真模型,仿真波形如图3所示。

从图3可以看出,采用补偿谐波及无功电流的有源滤波器,它可以同时补偿负载中的谐波及无功电流,使得电源电流中只含有负载电流的基波有功成分。
4 结语
本文用Matlab/Simulink中的电力系统模块对电铁供电系统的有源滤波器进行了仿真研究,结果表明单相有源滤波器用于电铁供电系统具有良好的谐波及无功电流的抑制效果。
作者:陈莉 西安铁路职业技术学院 来源:现代电子技术

