- 易迪拓培训,专注于微波、射频、天线设计工程师的培养
基于可伸缩视频编码技术的眩彩多屏业务高效解决方案
可伸缩视频编码的基本原理如下:对某一特定分辨率的视频数据进行累加层次编码,把它在某个作用域(如空间域、时间域等)分成若干层次,空间域扩展用来扩展空间分辨率,时间域扩展则提供时间分辨率的扩展功能。各种类型扩展都涉及多层,每个层次数据编码后独立传输。分层编码将视频信息编码成一个基本层(Base Layer,BL)和一个或多个增强层(Enhancement Layer,EL)。
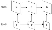
下面以我们计划在多屏方案中采用的空间域可伸缩视频编码举例加以说明。采用空间域可伸缩视频编码,增强码流用来增加图像分辨率,例如基本层分辨率是QCIF,而增强层分辨率是CIF,此时若要求输出QCIF分辨率,只需要对基本层解码就可以了;如果要求输出CIF分辨率,则需要对基本层和增强层同时解码。
如图1所示,基本层的每帧经上采样,得到增强层的帧,空间域分辨率增加,但帧率未增加。对增强层解码前,基本层中对应的参考帧应先解码。

图1 空间域可伸缩视频编码
以往的视频编码标准如MPEG-2,H.263,MPEG-4都提供可伸缩视频编码工具,但这些标准提供的可伸缩性是以编码效率的极大降低和解码复杂度的极大增加为代价的,因此没有被广泛使用。基于H.264/AVC扩展的可伸缩视频编码SVC,继承了H.264/AVC中设计精良的编码工具,并起草了H.264标准的可伸缩性扩展第一草案。H.264标准的SVC利用分层结构有效地结合时间域、空间域及质量可伸缩性,结合了分层编码和精细编码,通过改进的层间预测和漂移(Drift)控制,大大减小了可伸缩视频编码和单层编码的编码效率差异,而解码复杂度只有少许增加,并且后向兼容H.264/AVC。可以肯定的是,基于H.264/AVC扩展的可伸缩视频编码(SVC)将会得到广泛的应用,尤其是在异构的Internet视频应用和信道动态性大的无线网络视频应用中。
可伸缩视频编码技术为我们提供了能够适应异构网络中带宽剧烈变化以及不同服务质量和不同种类设备对信道影响的能力,从而可以实现网络资源动态高效配置的视频编码及传输解决方案。同时,由于可伸缩视频编码的优良性能,使得编码后的码流具有较高的编码效率和很好的传输健壮性,具有良好的容错性能,尤其是不需要进行代码或格式转换,因此特别适合于跨异构网络的炫彩多屏业务。
4 基于可伸缩编码技术的眩彩多屏业务高效解决方案
对于多屏应用,如果像通常情况那样,在电视,PC机和移动手持设备上播放的视频内容编码格式不同(见表1),那么进行视频代码或格式转换将是一项很重的负担。即便在这3种显示屏上采用的是同样的视频编码格式,按目前的方法,每次也要向电视,PC机和移动手持设备同时传输3种完整的视频内容。考虑到一部高清电影动辄2~3GB,这实在不是一件轻松的工作。
表1 视频帧格式

可伸缩视频编码之所以对多屏解决方案很有吸引力,主要有两大优势:首先,采用可伸缩视频编码势必采用统一的编码格式,如H.264,这样就不需要为了多屏之间的屏幕匹配进行代码或格式转换,大大减轻了运算负荷;其次,可以改用分层传输视频内容的方法,不必同时传输3种完整的视频内容,如传给电视的视频内容可以利用网络空闲期间传给用户家中的机顶盒或推送到家庭网关,这样可以大大减轻对网络带宽的需求压力。
图2就是我们运用空间域可伸缩视频编码技术的眩彩多屏业务高效解决方案示意图,其具体的工作方法和步骤举例说明如下:

图2 基于可伸缩编码技术的眩彩多屏业务高效解决方案
(1)我们将一部高清电影按H.264的可伸缩编码技术进行分层编码,分为基本层(BL)、增强层1(EL1)和增强层2(EL2)。
(2)将基本层(CIF格式)通过移动通信网络传输给移动手持设备,如PDA等。移动手持设备可直接解码基本层得到CIF格式的视频内容并播放给用户观看。
(3)将基本层一并传输给PC机/笔记本电脑(通过有线以太网)以及电视机机顶盒(目前可通过IPTV网络)。
(4)将增强层1(EL1)通过有线以太网传输给PC机/笔记本电脑,PC机/笔记本电脑将基本层(BL)和增强层1(EL1)同时解码得到4CIF格式的视频内容并播放给用户观看。
(4)将增强层1一并传输给电视机(目前可通过IPTV网络)。
(5)将增强层2(EL2)通过IPTV网传输给用户家中的机顶盒,机顶盒将基本层(BL)、增强层1(EL1)和增强层2(EL2)同时解码得到16CIF格式的视频内容并用电视屏幕播放给用户观看。
5 结束语
眩彩的多屏业务将是有线/无线宽带业务的下一个大趋势,将带来无限商机。但是,多屏业务跨越3种异构网络——移动通信网、有线以太网、广电网,如何在异构网络中提供稳定可靠的视频业务是运营商不得不面临的问题。采用可伸缩视频编码技术不需要为了屏幕匹配进行代码或格式转换,大大减轻了运算负荷;同时可以采用分层传输视频内容的方法,大大减轻了对带宽的需求压力。因此,基于可伸缩编码技术的多屏解决方案能带来眩彩多屏业务的高效实现,可以用最少的资源为最多的用户带来前所未有的眩彩多屏体验。
上一篇:基于Blackfin的无线IP视频监控解决方案
下一篇:智能型的铅酸蓄电池管理系统


