- 易迪拓培训,专注于微波、射频、天线设计工程师的培养
理解功率MOSFET的开关损耗
减小驱动电阻可以同时降低t3和t2,从而降低开关损耗,但是过高的开关速度会引起EMI的问题。提高栅驱动电压也可以降低t3时间。降低米勒电压,也就是降低阈值开启电压,提高跨导,也可以降低t3时间从而降低开关损耗。但过低的阈值开启会使MOSFET容易受到干扰误导通,增大跨导将增加工艺复杂程度和成本。
2 关断过程中MOSFET开关损耗
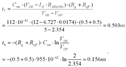
关断的过程如图1所示,分析和上面的过程相同,需注意的就是此时要用PWM驱动器内部的下拉电阻0.5Ω和Rg串联计算,同时电流要用最大电流即峰值电流6.727A来计算关断的米勒平台电压及相关的时间值:VGP=2+6.727/19=2.354V。

关断过程中产生开关损耗为:

Crss一定时,Ciss越大,除了对开关损耗有一定的影响,还会影响开通和关断的延时时间,开通延时为图1中的t1和t2,图2中的t8和t9。

图2 断续模式工作波形
Coss产生开关损耗与对开关过程的影响
1 Coss产生的开关损耗
通常,在MOSFET关断的过程中,Coss充电,能量将储存在其中。Coss同时也影响MOSFET关断过程中的电压的上升率dVDS/dt,Coss越大,dVDS/dt就越小,这样引起的EMI就越小。反之,Coss越小,dVDS/dt就越大,就越容易产生EMI的问题。
但是,在硬开关的过程中,Coss又不能太大,因为Coss储存的能量将在MOSFET开通的过程中,放电释放能量,将产生更多的功耗降低系统的整体效率,同时在开通过程中,产生大的电流尖峰。
开通过程中大的电流尖峰产生大的电流应力,瞬态过程中有可能损坏MOSFET,同时还会产生电流干扰,带来EMI的问题;另外,大的开通电流尖峰也会给峰值电流模式的PWM控制器带来电流检测的问题,需要更大的前沿消隐时间,防止电流误检测,从而降低了系统能够工作的最小占空比值。
Coss产生的损耗为:

对于BUCK变换器,工作在连续模式时,开通时MOSFET的电压为输入电源电压。当工作在断续模式时,由于输出电感以输出电压为中心振荡,Coss电压值为开通瞬态时MOSFET的两端电压值,如图2所示。
2 Coss对开关过程的影响
图1中VDS的电压波形是基于理想状态下,用工程简化方式来分析的。由于Coss存在,实际的开关过程中的电压和电流波形与图1波形会有一些差异,如图3所示。下面以关断过程为例说明。基于理想状态下,以工程简化方式,认为VDS在t7时间段内线性地从最小值上升到输入电压,电流在t8时间段内线性地从最大值下降到0。

图3 MOSFET开关过程中实际波形
实际过程中,由于Coss影响,大部分电流从MOSFET中流过,流过Coss的非常小,甚至可以忽略不计,因此Coss的充电速度非常慢,电流VDS上升的速率也非常慢。也可以这样理解:正是因为Coss的存在,在关断的过程中,由于电容电压不能突变,因此VDS的电压一直维持在较低的电压,可以认为是ZVS,即0电压关断,功率损耗很小。
同样的,在开通的过程中,由于Coss的存在,电容电压不能突变,因此VDS的电压一直维持在较高的电压,实际的功率损耗很大。
在理想状态的工程简化方式下,开通损耗和关断损耗基本相同,见图1中的阴影部分。而实际的状态下,关断损耗很小而开通损耗很大,见图3中的阴影部分。
从上面的分析可以看出:在实际的状态下,Coss将绝大部分的关断损耗转移到开通损耗中,但是总的开关功率损耗基本相同。图4波形可以看到,关断时,VDS的电压在米勒平台起始时,电压上升速度非常慢,在米勒平台快结束时开始快速上升。

图4 非连续模式开关过程中波形
Coss越大或在DS极额外的并联更大的电容,关断时MOSFET越接近理想的ZVS,关断功率损耗越小,那么更多能量通过Coss转移到开通损耗中。为了使MOSFET整个开关周期都工作于ZVS,必须利用外部的条件和电路特性,实现其在开通过程的ZVS。如同步BUCK电路下侧续流管,由于其寄生的二极管或并联的肖特基二极管先导通,然后续流的同步MOSFET才导通,因此同步MOSFET是0电压导通ZVS,而其关断是自然的0电压关断ZVS,因此同步MOSFET在整个开关周期是0电压的开关ZVS,开关损耗非常小,几乎可以忽略不计,所以同步MOSFET只有RDS(ON)所产生的导通损耗,选取时只需要考虑RDS(ON)而不需要考虑Crss的值。
注意到图1是基于连续电流模式下所得到的波形,对于非连续模式,由于开通前的电流为0,所以,除了Coss放电产生的功耗外,没有开关的损耗,即非连续模式下开通损耗为0。但在实际的检测中,非连续模式下仍然可以看到VGS有米勒平台,这主要是由于Coss的放电电流产生的。Coss放电快,持续的时间短,这样电流迅速降低,由于VGS和ID的受转移特性的约束,所以当电流突然降低时,VGS也会降低,VGS波形前沿的米勒平台处产生一个下降的凹坑,并伴随着振荡。
作者:万代半导体元件上海有限公司 刘松
来源:今日电子/21ic
上一篇:分布式视频编码关键技术及其发展趋势
下一篇:Cat.6A和ClassEA的区别


